留言板

尊敬的读者、作者、审稿人, 关于本刊的投稿、审稿、编辑和出版的任何问题, 您可以本页添加留言。我们将尽快给您答复。谢谢您的支持!

姓名
邮箱
手机号码
标题
留言内容
验证码

2026年  第26卷  第2期

2026年第26卷第2期封面与目录
综合交通枢纽运行组织与智能服务专栏导语
摘要: 随着《交通强国建设纲要》《国家综合立体交通网规划纲要》战略的深入实施,综合交通枢纽作为综合立体交通网多网融合的关键节点,正面临多方式深度融合发展需求。综合交通枢纽是各种运输方式高效衔接和一体化组织的主要载体,具有空间功能复杂、衔接方式多样、服务流线交织、信息共享融合等特点。人工智能、大模型、物联网等新一代信息技术的快速发展,推动综合交通枢纽加速智能化、数字化转型。在此背景下,如何通过智能化手段提升枢纽多方式运行效率、安全性和客货运输服务水平,成为当前研究的热点和难点。因此,有必要围绕公路、铁路、水路、航空、管道等不同运输方式的协同及与城市交通的衔接,聚焦综合交通枢纽智能感知、高效衔接、协同组织、智能服务、韧性提升等研究方向开展研究,以提升综合交通枢纽运行效率和服务水平。更多>
2026, 26(2): .
摘要(372) HTML (268) PDF (1601KB) (92)
综合交通枢纽运行组织与智能服务专栏
基于文献计量的多式联运物流工程研究综述
杨忠振, 张尔卓, 杜怡颖, 徐志刚
摘要: 为系统解构多式联运物流工程的知识谱系与研究进展,基于文献计量方法构建针对运输物流领域现有文献的结构化分析框架。通过检索CNKI数据库和Web of Science核心数据库中1995~2024年收录的运输物流主题相关文献,筛选有效样本20 125篇,涉及5 948位作者和5 969个关键词,运用CiteSpace分析多式联运物流工程知识体系的演进轨迹及前沿热点。研究结果表明:在研究视域方面,中文文献主要聚焦于城市物流与逆向物流,关注具体场景下的模型应用,英文文献侧重海运物流与供应链物流,突出理论创新;在合作格局方面,中文文献形成以交通运输类高校为主导的研究体系,但机构间合作网络较为松散,英文文献以亚洲海事高校为核心,形成跨机构、跨区域的紧密合作网络;在热点分布方面,城市物流聚焦于车辆路径问题,海运物流侧重集装箱班轮运营,逆向物流关注闭环供应链与绿色物流,场地物流重视库存管理与设施布局优化;在研究趋势方面,运输物流领域的研究热点正从传统的技术优化导向,逐步演化为以绿色发展与供应链韧性为核心的新兴研究方向。智能化、绿色化和韧性化将成为未来多式联运物流工程研究的主要趋势,推动物流行业向更高效、环保与灵活的方向迈进。更多>
2026, 26(2): 1-23. doi: 10.19818/j.cnki.1671-1637.2026.071
摘要(850) HTML (379) PDF (17190KB) (441)
基于数据驱动的路网连续交通流短时预测方法综述
刘伟, 钟灿, 曹文明
摘要: 为掌握数据驱动下的路网连续交通流短时预测技术发展最新动态,基于人工智能计算和实时交通数据采集技术快速发展的背景,对短时交通流深度学习预测模型、数据处理技术和预测效果进行了综述与总结。该研究梳理了交通流预测的经典统计模型、机器学习模型及深度学习模型的演变历程,重点分析了各类模型的优势与局限性;归纳了2024年至今的短时交通流预测方法研究进展,详细对比研究了循环神经网络、图卷积网络、多头注意力机制与Transformer架构、神经微分方程、超图理论及轻量化架构等短时交通流预测模型,以及联邦学习、迁移学习、生成对抗网络和多源数据融合等短时交通流预测数据处理技术;基于对均方根误差、平均绝对误差和平均绝对百分比误差三大核心指标的对比,总结了主流模型在标准化数据集PEMS上的性能,评估了代表性模型的泛化能力与稳定性。结果表明:深度学习方法相对于传统模型在短时交通流预测的精度、泛化能力及稳定性上具有明显优势;具备动态时空关系建模、多尺度周期数据结构、计算效率改进方法及增强鲁棒性机制等特征的短时交通流预测模型有更优异的性能;数据处理技术可有效改善数据隐私、跨区域差异、数据稀缺与异常缺失等实际问题,提升短时交通流预测模型的工程应用性能与可扩展性。未来可从时空特征挖掘、数据融合、模型轻量化、知识迁移以及模型工程应用等方面深化研究。更多>
2026, 26(2): 24-43. doi: 10.19818/j.cnki.1671-1637.2026.141
摘要(1263) HTML (574) PDF (3983KB) (348)
综合客运枢纽公共交通低可达区域及致因识别方法
陈恩惠, 季柯羽, 程龙, 张文波, 滕靖
摘要: 针对大规模综合客运枢纽公共交通网络低可达区域及致因难识别的问题,提出了基于可达性的枢纽公共交通服务诊断框架;测度不同可达时间下枢纽多方式网络覆盖空间范围与人口规模,利用洛伦兹曲线模型,分析了不同枢纽公共交通可达空间范围与人口规模的均等性;建立枢纽公共交通低可达区域识别方法,研究了枢纽公共交通服务中低可达区域范围及其分布特征;引入了梯度提升决策树模型,从出行过程构成视角解析特征变量对枢纽公共交通可达时间的影响;设计了面向低可达区域的近邻传播聚类算法,划分不同类别枢纽公共交通低可达区域;使用上海虹桥枢纽和浦东枢纽多方式交通网络开展实例分析。研究结果表明:虽然虹桥枢纽公共交通可达性总体优于浦东枢纽,但在均等性上表现欠佳,可达性区域分异特征较大;虹桥枢纽的公共交通低可达区域呈现多核心离散分布格局,而浦东枢纽则呈现条状集聚形态;在造成枢纽公共交通低可达性区域的致因方面,步行距离对虹桥枢纽的相对影响程度最大(31%),其次是路网非直线系数(29%)和地面公交乘车站数(21%);步行距离对浦东枢纽的相对影响程度上升至37%,其次是地面公交乘车站数(26%)和公共交通线网非直线系数(18%);基于主要影响因素,2个枢纽的公共交通低可达区域被划分为首末端步行制约型、地面公交依赖型、轨道交通长距离迂回型3个类别。更多>
2026, 26(2): 44-60. doi: 10.19818/j.cnki.1671-1637.2026.142
摘要(794) HTML (391)
枢纽机场电动摆渡车多运营商协作调度模型
包丹文, 曲旸, 周佳怡
摘要: 为解决枢纽机场电动摆渡车调度中因运营商独立运行所引发的配置成本高、调度效率低、延误时间长等问题,提出了一种多运营商协作调度模式下的机场电动摆渡车调度方法;设计了运营商协作调度车队的运行机制,允许车辆跨运营商服务航班请求;建立了独立与协作模式下的混合整数规划模型,旨在最小化车辆运行成本与航班保障延误总时间;提出了描述协作程度的参数(共享半径、共享车辆数),设计了基于改进遗传算法的求解框架;通过协作调度策略降低机场整体运行成本,减少航班延误,并以广州白云国际机场为例进行了实证分析。结果表明:与传统独立调度模式相比,多运营商协作调度模式显著提升车辆利用效率,尤其是在复杂运行场景测试下可减少69.4%~100.0%的延误时间,降低21.6%~75.7%的运营成本;改进的遗传算法相较CPLEX求解器可减少85.3%~99.5%的计算时间,能在更短时间内获得高质量解,同时目标函数差距保持在1%以内。针对繁忙的枢纽机场,所提方法能够在降低车辆运行成本与减少航班延误时间方面取得有效平衡。更多>
2026, 26(2): 61-78. doi: 10.19818/j.cnki.1671-1637.2026.143
摘要(598) HTML (304) PDF (8336KB) (276)
港口群协同布局评估指标体系构建及深圳港实践探索
黄启翔, 江志彬
摘要: 有别于传统以城市为基本单元的港口群协同评估模式,基于港口航运实际供应链组织特点,提出以港区而非城市为基本单元的港口群协同评估技术方法,具体从城市不同港区间的协同和区域不同港口间的协同2个维度展开。为有效评估沿海城市在港口群协同布局中存在的问题,并准确判定港口内外协同发展水平,基于系统协同理论,采用组合赋权-非线性增益方法建立协同评估模型,并以深圳港为例,通过层次分析法(AHP),邀请专家评分构建判断矩阵,确定主观权重,依据熵权法,结合深圳港2018~2024年面板数据计算信息熵,确定客观权重,以权重系数融合主客观权重;创新性引入协同增益项,选取城市级港口群及区域级港口群评价指标体系中的主要核心指标构建非线性评价模型,量化港口城市内外协同效应。研究结果表明:2024年,深圳港在城市级港口群中的协同得分为0.831 8,呈现整体优秀协同状态,但5类指标存在明显差异,信息协同(0.90)最好,生态环保协同(0.50)最差,运营管理协同(0.75)、制度协同(0.73)和基础设施协同(0.71)等相对次之,深圳港内部各港区应重点加强能源共享和基础设施的建设;深圳港在粤港澳大湾区港口群中的协同得分为0.682 8,呈现初级协同状态,深圳港在区域级港口群协同布局中还存在较大提升空间,6类指标中,信息协同(0.76)相对最好,运营管理协同(0.66)达到初级水平,基础设施协同(0.57)、经济效益协同(0.48)、制度协同(0.42)、生态环保协同(0.35)等4个方面存在严重的失调现象;深圳港需实施“制度-生态”双轮驱动策略,对内在完善基础设施协同布局的基础上,优先建立港口联盟收益分配机制,加快液化天然气(LNG)加注网络建设,在一定期限内改进核心短板,从而有效提升能源利用效率,对外则应探索粤港澳大湾区港口群提供保障政策。更多>
2026, 26(2): 79-93. doi: 10.19818/j.cnki.1671-1637.2026.144
摘要(723) HTML (251) PDF (15561KB) (118)
基于行为表征空间关联网络的综合交通枢纽客流短时预测框架
戴智丞, 李得伟, 李华, 徐恩华, 张若楠
摘要: 为提升枢纽内部多类型功能区域客流短时预测的准确性,针对现有综合交通枢纽客流预测方法难以精准捕捉非邻接区域复杂的时空交互关系从而影响预测精度的问题,研究了综合运用虚拟现实技术(VR),改进了多尺度时序特征编码模块,构建了一种基于旅客活动链行为表征的空间关联网络客流短时预测框架(BRSCN)。利用VR技术搭建综合交通枢纽场景,开展旅客行为试验,获取了旅客在虚拟环境中的出行轨迹数据;对轨迹数据进行区域识别、停留判定与链路重构,构建了完整的旅客空间活动链集合,进而通过滑动窗口采样和图嵌入算法生成了各功能区域的特征向量;综合余弦相似度与客流转移频率构建反映了区域间非邻接关联的空间关联图;在预测阶段,使用图注意力网络(GAT)实现了邻接与非邻接区域空间特征的聚合,构建了双向扩展长短期记忆网络(Bi-sLSTM)和动态窗口稀疏注意力Transformer相结合的多尺度时序特征编码模块,自适应捕获枢纽客流复杂的非线性多尺度时空波动特征。试验结果表明:选取的上海虹桥综合交通枢纽高架层真实客流数据,与AGCRN、STTN等既有先进模型相比,BRSCN在均方根误差(RMSE)、平均绝对误差和平均绝对百分比误差3个指标上可分别降低30.2%、21.1%和28.3%;空间关联图的引入使RMSE指标降低16.7%,可显著提升模型对非邻接区域间客流交互的预测能力;动态窗口稀疏注意力机制在不牺牲预测精度的情况下使模型复杂度降低2.9%。所提BRSCN预测框架可有效捕捉综合交通枢纽内非邻接区域间的复杂时空关系,显著提高了客流短时预测的精度与模型泛化性能,可为综合枢纽空间资源优化配置和客流动态管理提供科学决策依据。更多>
2026, 26(2): 94-109. doi: 10.19818/j.cnki.1671-1637.2026.026
摘要(719) HTML (381) PDF (15410KB) (153)
面向城市低空物流的多层异质起降场点网络协同规划
冯棣坤, 张洪海, 华明壮, 狄娟, 单逸轩
摘要: 为实现低空物流起降场点网络的有效规划与安全运行,研究了城市环境下无人机物流多层起降场点网络协同规划问题;考虑无人机性能约束、空域限制约束等现实因素,结合“起降场-起降点-末端投放点”的3层配送体系,建立了以运输成本最小、建设数量最少、网络公平性最大为目标的起降场点3层网络协同规划模型;定制设计了连续优化框架,快速实现初始解的生成、离散型变量求解及连续型变量局部优化,并基于上海市某物流数据开展协同规划模型与组合算法有效性验证。研究结果表明:提出的协同规划模型可有效实现起降场点网络的选址布局,设计的人类学习优化(HLO)算法相较于遗传算法(GA)、非支配排序遗传算法(NSGA-Ⅱ)等优化算法表现较好,经显著性检验,基于模拟退火(SA)的局部优化算法能够稳定优化约2.15%的运输成本,有效提高了规划结果的最优性;敏感性分析表明,权重设计与步长因子显著影响模型求解效果,起降场点总数的目标权重应不小于0.5,最佳步长因子设计为0.05~0.06,起降场、起降点数量的权重配置对起降点数量影响明显,起降点数量随着其权重的减少不断增加,而最优起降场数量维持不变。研究可为城市低空物流起降场点网络规划、协同运行提供决策参考。更多>
2026, 26(2): 110-124. doi: 10.19818/j.cnki.1671-1637.2026.086
摘要(597) HTML (232) PDF (7772KB) (98)
网约车协同服务下综合客运枢纽定制公交接驳线路优化方法
程龙, 王宇轩, 肖光涵, 张明业, 杨敏
摘要: 提出了网约车协同的综合客运枢纽定制公交接驳服务模式,研究了定制公交、网约车及旅客三方协同下的综合系统成本最小化问题,考虑旅客接驳出行需求分布、公交线路空间连通性、时间调度、客流分配及步行可达性等影响因素,建立了网约车协同服务下的定制公交接驳线路优化模型;提出了基于大邻域搜索的嵌入式优化算法,将混合整数线性规划模型嵌入大邻域搜索框架中,通过扰动-修复-精确优化的三步策略,实现对定制公交接驳线路的全局优化;开展了以南京禄口国际机场为例的实证研究,系统评估了协同服务模式与单一模式下的成本及运营效果。研究结果表明:所提模型能够有效满足旅客主要接驳出行需求并显著降低接驳系统总成本,优化后的接驳系统总成本较单一网约车模式和单一定制公交模式分别下降40.7%和18.8%;敏感性分析显示,定制公交运营速度的提升相较于网约车对系统总成本的影响更为显著,系统总成本对网约车票价变动的敏感性略高于定制公交票价,旅客出行成本是影响系统总成本变化的主要因素,在旅客可接受步行距离为700 m时,系统总成本最低。算法对比结果表明,基于大邻域搜索的嵌入式优化算法在迭代次数和求解结果上均优于遗传、模拟退火、蚁群和传统大邻域搜索算法,相较于上述算法,嵌入式优化算法能使系统总成本进一步降低9.6%~12.6%。更多>
2026, 26(2): 125-139. doi: 10.19818/j.cnki.1671-1637.2026.146
摘要(496) HTML (272) PDF (7187KB) (78)
考虑分层需求的干支通多层航空运输网络优化模型
姜雨, 刘洪阳, 李焓璐, 原野, 薛清文
摘要: 以干支通多层航空运输网络为研究对象,进行符合其运行的建模,以构建分层需求多层级枢纽选址模型并求解为目标;通过需求层区分不同类别的需求,以包括运输成本、枢纽建设固定成本、航线连接固定成本在内的总成本最小为目标,构建了允许非枢纽直接连接和普通枢纽直接连接的r分配多层级枢纽选址模型;根据航空网络的拓扑结构特点,结合变邻域搜索(VNS)算法和遗传算法(GA)的优势,设计了基于交替机制的VNS-GA混合启发式算法,通过变邻域搜索优化枢纽选择和需求点分配,利用遗传算法优化直接连接关系;针对CAB、AP两个经典数据集和中国长三角区域机场数据进行建模求解,对比现有模型和分层需求模型,验证了算法有效性,并分析了参数灵敏度。研究结果表明:在15个点的小规模案例中,分层需求模型降低了9.23%的总成本;在25个点的小规模案例中,交替式VNS-GA算法在多种参数配置下与最优解差距均不超过2.56%,且平均求解时间仅为商业求解软件的10.78%;在100个点的中大规模案例中,灵敏度分析表明,分层权重系数的设置对优化结果影响最大,r分配策略能够降低总成本但存在明显的边际效益递减;在长三角区域半实例试验中,模型能够在增加50条直连航线的同时实现成本降低2.75%,验证了模型在干支通多层航空运输网络优化的可行性和效果。更多>
2026, 26(2): 140-154. doi: 10.19818/j.cnki.1671-1637.2026.147
摘要(625) HTML (276) PDF (8425KB) (54)
时变需求下综合客运枢纽集群对外交通网络韧性评估方法
杨扬, 陈君婷, 姚恩建, 刘冬梅
摘要: 为科学评估综合枢纽集群的对外交通网络韧性,提出了行程韧性测度指标,涵盖了鲁棒性、冗余性、恢复性3个维度;运用多模式交通网络客流分配方法刻画了不同的节点攻击和恢复策略的影响结果,构建了行程韧性测度方法;以京津冀城市群内综合客运枢纽集群为例,开展实例验证。研究结果表明:京津冀城市群与上海、广州、成都等典型城市群核心城市之间的对外综合交通网络已基本成型,整体表现出较强的抗干扰与恢复能力,在不同扰动场景下单位行程韧性普遍高于0.95;以10月7日(国庆节)单节点恢复时长1 h为例,节点强度恢复策略的网络恢复效果最优,网络韧性达0.990 2,受影响人数仅1 402人次,显著优于其他策略;早间时段因网络负荷大、班次冗余度低,导致韧性下降至0.976 1,低于午间、晚间;大部分情况下,网络韧性随着单节点恢复时长的增加而递减,受影响人数也随之增多;从不同日期来看,韧性受客流分布离散程度和网络冗余度共同影响,按TOPSIS方法排序,国庆韧性最高为0.983 2,周末韧性最低为0.974 6。提出的韧性评估方法可为分析枢纽间铁路、民航和城市交通等多模式交通网络的潜在运输能力,合理配置交通应急处置资源等提供科学依据。更多>
2026, 26(2): 155-169. doi: 10.19818/j.cnki.1671-1637.2026.148
摘要(527) HTML (271) PDF (6219KB) (57)
交通基础设施工程
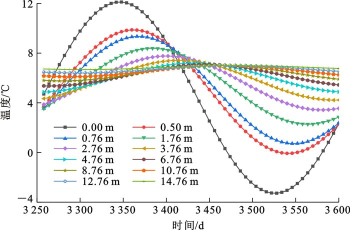
寒区深埋隧道衬砌结构和围岩沿径向年周期性温度场简化解析解
赵鹏宇, 陈建勋, 罗彦斌, 杨典光, 范文杰, 刘吉祥
摘要: 为了得到应用性更好的寒区深埋隧道衬砌结构和围岩沿径向温度场解析解,用以指导隧道冻害防治设计,基于叠加原理,将隧道简化为多层圆筒计算模型,在明确围岩温度影响边界确定方法的基础上,以空气年平均温度和围岩初始温度为恒温边界条件,提出了隧道衬砌结构和围岩沿径向不同深度处年平均温度解析解;将隧道简化为多层平板计算模型,采用温度简谐波传播原理,考虑衬砌混凝土、围岩热物性差异对温度简谐波传播的影响,提出了衬砌结构和围岩沿径向不同深度处年温度振幅解析解。分析结果表明:隧道衬砌结构、围岩沿径向不同深度处年平均温度和年温度振幅解析解的函数形式,与现场测试、数值模拟计算得到的隧道沿径向温度场变化规律数学表征函数形式一致;年平均温度和年温度振幅沿径向分别呈对数函数、指数函数变化,其中衬砌结构接近于线性变化;年平均温度理论解析和数值模拟计算结果差值较小,低于0.1 ℃,年温度振幅理论解析结果大于数值模拟计算结果,两者最大差值可达1.3 ℃,最大差值所在位置沿径向距衬砌表面约3 m;年温度振幅理论解析和数值模拟计算结果差值大小受空气年温度振幅和围岩导温系数影响较大,随空气年温度振幅和围岩导温系数降低,逐渐减小,在年温度振幅低于15 ℃、围岩导温系数小于1.10×10-6 m2·s-1条件下,两者差值低于1 ℃。更多>
2026, 26(2): 170-185. doi: 10.19818/j.cnki.1671-1637.2026.149
摘要(695) HTML (261) PDF (4402KB) (55)
考虑在役桩牵制效应和土体刚度硬化的隧道开挖位移响应计算
黄明, 张成昭, 赖丰文, 路遥, 魏巍
摘要: 忽略桩-土相互作用中的在役桩牵制效应与土体刚度应力相关性,可能导致隧道开挖位移响应的理论计算结果与实际值之间存在一定程度偏差。鉴于此,采用两阶段分析法,建立了考虑在役桩牵制效应和土体刚度硬化的桩-土相互作用模型,并引入考虑土体黏聚力的等效内摩擦角修正了Loganathan-Poulos(L & P)公式,求解邻近在役桩基隧道开挖诱发的土体位移;进一步基于非线性土弹簧的Winkler地基梁模型,求解盾构隧道开挖引起的既有桩基位移;应用所提计算方法,探究了桩隧间距、地层损失率、隧道埋深和桩径对隧道开挖诱发桩基位移的响应规律。结果表明:所提方法对地表沉降的计算结果与既有理论计算结果、离心机试验数据及现场监测数据吻合良好,有效改进了传统L & P公式;深层土体位移计算结果与既有理论计算结果的规律基本一致;考虑在役桩牵制效应及土体刚度硬化所得的桩基位移均小于既有解析解计算结果;考虑不同地层损失率工况下,桩基位移计算结果与有限元模拟结果整体趋势一致,隧道轴线深度处,桩基竖向位移计算结果均小于有限元模拟值2%左右,而桩基水平位移小于有限元模拟值10%左右。更多>
2026, 26(2): 186-197. doi: 10.19818/j.cnki.1671-1637.2026.009
摘要(370) HTML (196) PDF (2392KB) (53)
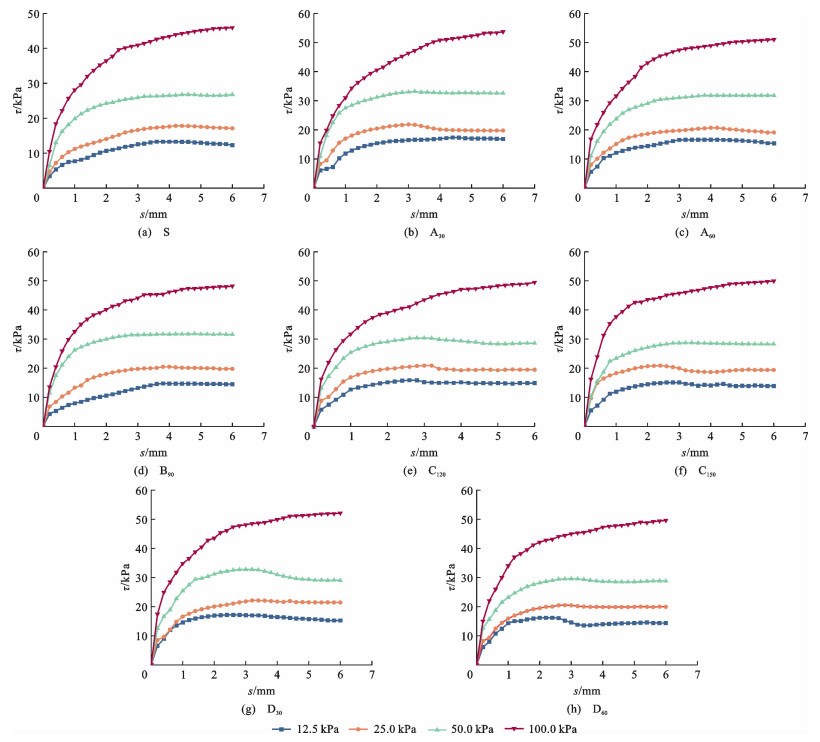
预成孔植入大直径PRC管桩水平承载特性现场试验
任玉波, 王苗苗, 田叶青, 谢宏丽, 马凯, 周志军, 许超
摘要: 为研究预成孔植入大直径混合配筋预应力混凝土(PRC)管桩的水平承载特性,以直径为800 mm的管桩为研究对象,通过开展现场水平静载试验,对比了预成孔植入工法和锤击打入工法下PRC管桩的位移、内力、地基抗力系数的比例系数等差异,分析了2种工法下PRC管桩的承载机制。研究结果表明:相较于锤击打入管桩,预成孔植入管桩的水平临界荷载提升了36.1 %,极限荷载与之相近;临界荷载作用下,锤击打入管桩和预成孔植入管桩的桩身转动点埋置深度分别为7.5 m和5.5 m;各桩弯矩最大截面和土抗力最大截面埋置深度一致,锤击打入管桩为5.1 m,预成孔植入管桩为3.1 m;当水平荷载小于临界荷载时,预成孔植入管桩较锤击打入管桩桩身弯矩更小,桩侧土抗力更大;2种工法下混合配筋预应力管桩的地基抗力系数的比例系数均大于规范中的推荐值,且在预成孔植入管桩中的提升幅度更为显著;m法在预成孔植入管桩水平作用效应计算中具有较好的适用性,但不适用于锤击打入管桩。预成孔植入管桩在植入过程中,砂浆沿孔壁上返时对土体的填充和渗透作用,增强了砂浆与土体之间的结合能力,增大了地基土体的水平抗力,较锤击打入管桩具有更好的位移控制能力,在桥梁等对位移控制严格的结构中有很好的应用前景。更多>
2026, 26(2): 198-209. doi: 10.19818/j.cnki.1671-1637.2026.010
摘要(380) HTML (147) PDF (5733KB) (51)
不同破坏模式下香根草根-红黏土根土复合体剪切特性试验
方薇, 刘火, 刘恬, 王艺伟
摘要: 为探究香根草根系对红黏土剪切特性的影响,选取一年生香根草根-红黏土复合体为研究对象,在获取红黏土和香根草根基本参数的基础上,通过直接剪切试验、单根拉拔试验、界面剪阻试验得到不同破坏模式下根土复合体抗剪强度及剪切特征参数,并进一步分析了根段倾角、土体干密度与含水率影响下的抗剪强度变化规律。研究结果表明:不同法向荷载下的根土复合体的直剪强度均大于素土,当生长方向与受剪方向夹角较小时,土体抗剪强度增幅较大,当根轴与剪切方向平行时,根固效应比二者正交时更好,根系的加入对黏聚力提升的效果显著;抗拔力随拉拔位移的增加而增长,并在3~8 mm位移时出现峰值,其后经历快速和缓慢降低2个阶段,直至根段被完全拔出;拉拔力、界面抗剪强度均与干密度呈正相关性,但当土体含水率约为20%,即最优含水率附近时出现峰值;随着土体干密度的增大,根表与土颗粒之间的黏结得到了增强,同时根土接触面积和摩擦效应也出现同步增长;根土界面抗剪强度、界面黏聚力、界面摩擦因数比均在含水率为20%左右达到最大值;在给定土体密实度水平下,通过调控根系生长环境湿度,可以改善根土摩擦效应和减少根系拉拔破坏。研究成果可为准确评价不同失效模式下根土复合体的抗剪强度提供试验依据,对于根系固土模型中剪切参数的合理选取具有一定参考价值。更多>
2026, 26(2): 210-224. doi: 10.19818/j.cnki.1671-1637.2026.007
摘要(667) HTML (287) PDF (6218KB) (50)
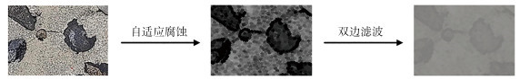
小样本条件下灌入式沥青混凝土断面异相材料图像高效分割方法
白桃, 詹翱洋, 顾凡
摘要: 建立了一种物理约束与注意力机制耦合的智能分割框架;提出了自适应腐蚀-膨胀预处理算法,结合多权重边缘融合算子,增强界面的梯度响应;设计了ASPP-SE网络架构,通过通道注意力与空间金字塔池化的协同优化,实现孔隙分布与集料纹理的多尺度特征解耦;建立了边缘置信度与分割掩码的联合修正策略,对初始分割结果进行后处理优化。结果表明:在自建的灌入式沥青混凝土小样本数据集上,该方法的分割结果较目前先进的SegFormer深度学习模型在准确率上提升8.4%,精确率上提升6.6%,召回率上提升6.9%,有效提升了边界分割精度。该方法有效解决了材料相态交界面模糊、集料纹理特征等复杂场景下的分割失效问题,在实际工程应用中表现出较好的可靠性与普适性,可为低数据量、高异质性的工程材料图像分析提供新思路。更多>
2026, 26(2): 225-242. doi: 10.19818/j.cnki.1671-1637.2026.008
摘要(373) HTML (190) PDF (19201KB) (49)