Current Issue
2025, Volume 25, Issue 5
Display Method:
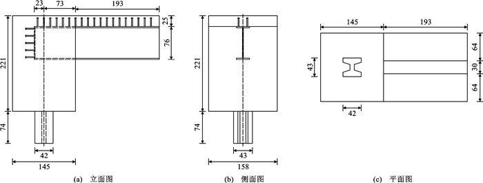
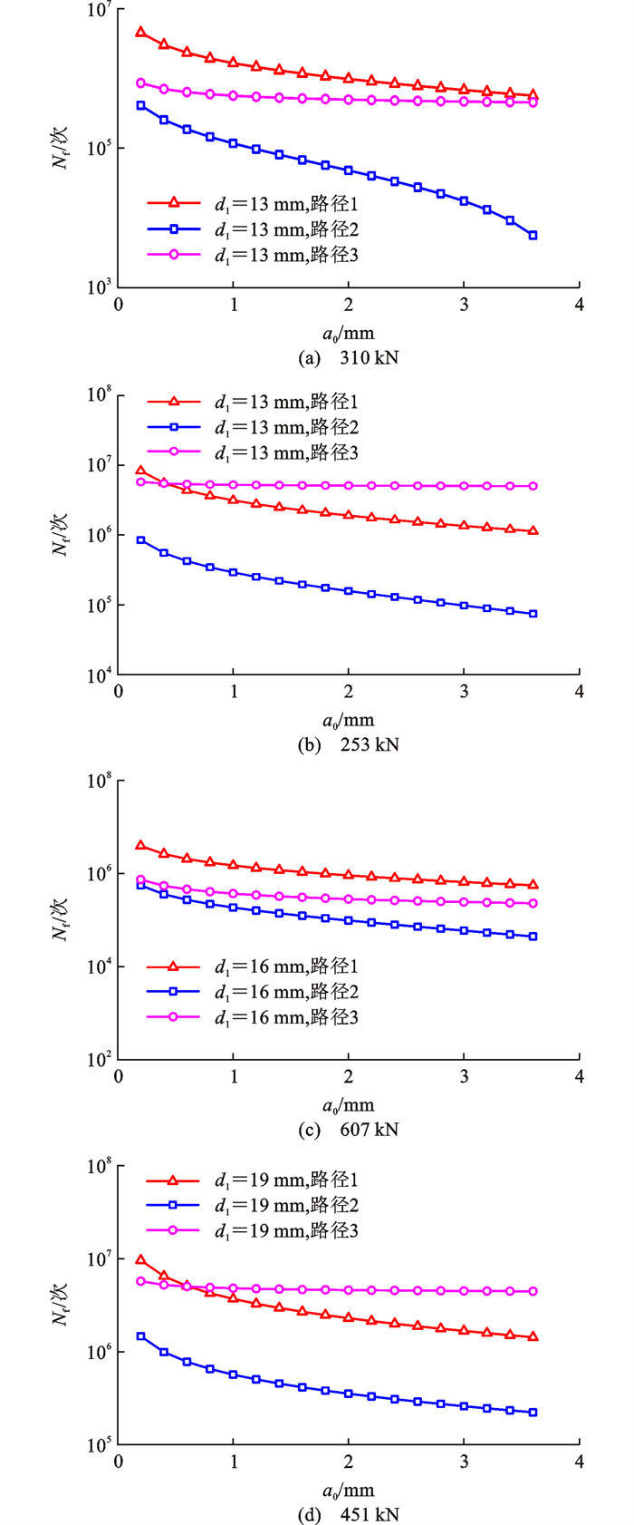
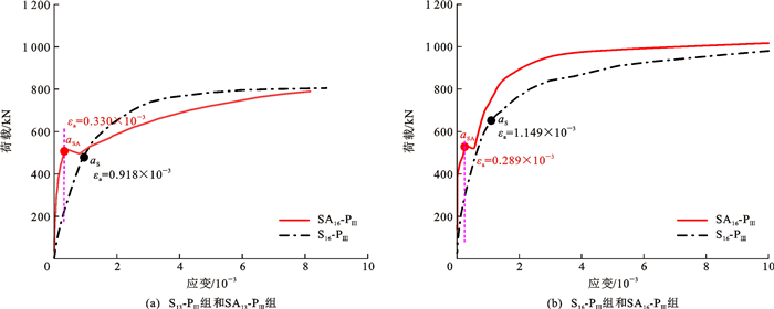
Fatigue performance analysis and life prediction of steel-UHPC stud weld based on fracture mechanics
Abstract:
More>
2025,
25(5):
220-233.
doi: 10.19818/j.cnki.1671-1637.2025.05.015
