2025 Vol. 25, No. 4

The Others
Cover and Contents of Vol.25, No.4, 2025
Transportation Infrastructure Engineering
Research review of dry process rubberized asphalt mixtures: materials, mechanism, design, and performance
GE Dong-dong, JIANG Xiang-yang, LYU Song-tao, ZHANG Hong-gang, JU Zi-hao, LEI Jie-chao
Abstract: The definition of rubberized asphalt mixtures with different processes was clearly defined, and the composition and preparation technology of rubber particles were systematically sorted out. By focusing on their modification concept, the mode of action of rubber particles as an elastic aggregate, their interaction with asphalt, and the key influencing factors were deeply analyzed. The design parameters of dry rubber asphalt mixtures and their influence on the performance of the mixtures were summarized. The performance grades were classified on the basis of mathematical statistics and current specifications. According to the results, at the material level, the morphological characteristics of rubber particles and the heterogeneity of components jointly determine their "elastic aggregate" performance. However, the existing studies have yet to fully elucidate the secondary modification mechanisms, such as the migration of carbon black and the redistribution of components. At the mechanism level, the core mechanism of "gradient swelling-dynamic degradation" in the dry process was revealed, pointing out the swelling difference between the outer layer of rubber particles and the inner core. At the design level, through the precise control of parameters including gradation design, rubber particle size and mixing amount, asphalt content, process improvement, and simmering time, the overall performance of the dry rubberized asphalt mixtures could be effectively improved. At the performance level, mixing various admixtures into the dry rubberized asphalt mixtures could strengthen the bonding of rubber particles with asphalt, further improving the road performance and stability of the mixtures. Future research should focus on the development of microscopic characterization indexes for rubber-asphalt interfacial reactions, the construction of a full life cycle evaluation system integrating environmental and functional attributes, and the reshaping of the research paradigm of dry rubberized asphalt mixtures based on intelligent technology. A theoretical support is thus provided for the application of the engineering of the dry process.More>
2025, 25(4): 1-27. doi: 10.19818/j.cnki.1671-1637.2025.04.001
Influence of dynamic vehicle shadows on power generation efficiency of highway photovoltaic pavements
LIU Zhuang-zhuang, HUANG Yu, CHENG Wei, MA Hao-ran, SUN Hao, SHA Ai-min
Abstract: To investigate the impacts of vehicle shadows on the power generation efficiency of highway photovoltaic pavement (HPVP), a 36.00 m×3.20 m ideal photovoltaic pavement model (4×12 array) was constructed. Based on this, a photovoltaic pavement power generation model including parameters of battery component, pavement, environment, vehicle, and traffic was established. Subsequently, theoretical simulations were employed to examine the effects of solar elevation angle, vehicle composition, driving speed, traffic flow, and other factors on the power generation efficiency of HPVP. Finally, through the established HPVP test platform, the shadow occlusion experiment of a 4×2 photovoltaic array consisting of series and parallel photovoltaic panels was analyzed to validate the accuracy of the photovoltaic array model and shadow occlusion model. The results indicate that under the hypothesized conditions in this paper, the output power of the photovoltaic pavement exhibits periodic fluctuations as vehicles pass over it. In terms of photovoltaic pavement power generation efficiency, the shadow occlusion from large vehicles is independent of the solar elevation angle, whereas the one from small vehicles is significantly influenced by it. Regarding the impact of small vehicles' shadow occlusion, the critical solar elevation angle is 65°. When the elevation angle exceeds 65°, the power generation efficiency of the photovoltaic pavement increases with the rise in solar elevation angle. When the elevation angle is below 65°, the output power of the photovoltaic pavement remains unchanged, regardless of variations in the elevation angle. Faster driving speeds lead to shorter durations of dynamic shadow occlusion and, consequently, less power generation loss for the photovoltaic pavement. When driving speed surpasses 70 km·h-1, the influence of further speed increase on reducing power generation loss diminishes. An increase in traffic flow results in a gradual rise in power generation loss, and the influence of traffic flow on the power generation efficiency of photovoltaic pavement is more pronounced than that of driving speed. Under extreme conditions, the maximum power generation losses of photovoltaic pavement caused by large- and small-size vehicles are 26.82% and 11.37%, respectively. Through verification tests, it is found that the simulation value consistency of the maximum power generation efficiency of the photovoltaic pavement under longitudinal and transverse shadow occlusion is 98.63% and 98.27%, respectively.More>
2025, 25(4): 28-41. doi: 10.19818/j.cnki.1671-1637.2025.04.002
Improved algorithm for lightweight identification of 3D GPR images of hidden road defects
BAI Tao, AN Yi-ming, JIN Guang-lai, ZHANG Wei-guang, LIN Jie
Abstract: To address the problems of small real data scale, difficulty in manual interpretation, and insufficient accuracy and efficiency of traditional algorithms in real-time detection of hidden road defects using three-dimensional ground penetrating radar (3D GPR), a lightweight improved algorithm based on the YOLOv8 algorithm YOLOv8-CES was proposed. Based on the collected 3D GPR images of hidden road defects, defect information was annotated and classified to establish a dataset. A Cut_SimAM attention mechanism was proposed based on the parameter-free SimAM attention mechanism to improve small target detection, and it was added to the backbone network to enhance focus on target regions and improve small object detection ability. Based on the C2f structure, a C2f_EFAttention feature extraction module was introduced into the neck network to optimize the feature fusion process, reduce the number of parameters, and improve detection efficiency. The Slide Loss sliding weighted loss function was used in combination with the D-IoU bounding box loss function to accelerate model convergence and improve detection accuracy for difficult samples. Ablation experiments were conducted to verify the effect of each module on model performance, using mean average precision (mAP), number of parameters, floating point operations per second (FLOPs), and frames per second (FPS) as indicators. The detection accuracy and efficiency of the improved algorithm compared with other algorithms were evaluated through comparative experiments. Test results show that in the collected 3D GPR image dataset of defects, the mAP of YOLOv8-CES reaches 61.5%, increasing by 3.6% compared with the baseline model. The number of parameters reduces from 3.0×106 to 2.5×106, and FLOPs reduces from 8.1 GFLOPs to 7.1 GFLOPs; FPS increases by 16.7%. The improved model achieves higher accuracy and lower computational demand in the recognition and classification of hidden road defects. The high accuracy and lightweight design of the YOLOv8-CES algorithm make it more suitable for embedding in 3D GPR detection devices and achieving real-time detection, indicating its potential application value in road detection.More>
2025, 25(4): 42-57. doi: 10.19818/j.cnki.1671-1637.2025.04.003
Thawing behavior of frozen soil with high ice content under the action of high-power heating rod
ZHU Xu-wei, TIAN Bo, QUAN Lei, LI Li-hui, LI Si-li, ZHANG Pan-pan, HE Zhe
Abstract: To explore the thawing process and hydrothermal changes of frozen soil with high ice content under high-temperature conditions, four types of frozen soil with a temperature of -1.5 ℃ and ice volume content of 20%, 30%, 40%, and 50% were prepared in a sub-zero environmental chamber where dry soil, ice crystals, and water were mixed according to specific proportions. Subsequently, self-designed high-power heating rods were utilized to conduct pre-thawing comparative experiments on these four types of high-ice-content frozen soil, and sensors were employed to monitor real-time temperature and volumetric water content changes during the process. After that, under the action of heating rods, the variation patterns of frozen soil temperature and water content over time as well as the thawing rate of the frozen soil were analyzed. On this basis, field experiments were conducted to verify the efficacy and reliability of high-power heating rods for the pre-thawing of deep high-ice-content frozen soil. Additionally, the cone penetration test (CPT) was employed to determine the thawing range of the soil. Research results show that the thawing process of frozen soil can be divided into three stages under the influence of heating rods: the ice-water phase change thawing stage, the temperature rise stage, and the cooling stage. The thawing of frozen soil is primarily driven by hydrothermal migration jointly induced by temperature and moisture gradients, with the maximum soil temperature gradually decreasing as ice content and radial distance increase. High-temperature effects significantly drive moisture movement in thawed soil within the radial range of 0-5 cm, where the water content of frozen soil at 5 cm radial distance gradually decreases after reaching the designed water content during heating. The thawing rate of frozen soil within the 0-5 cm range is significantly higher than that in other ranges, and it decreases sharply with increasing radial distance and ice content. Determining thawing time and range through moisture fields shows certain hysteresis, underestimating the actual thawing speed and range. It is recommended to assess the freeze-thaw state of frozen soil during thawing experiments by monitoring the temperature response time. The CPT tests can be used to quickly determine the thawing range of frozen soil during field pre-thawing processes.More>
2025, 25(4): 58-70. doi: 10.19818/j.cnki.1671-1637.2025.04.004
Dynamic cumulative deformation characteristics of weak expansive soil improved by silt and lime under cyclic wetting
ZHANG Ding-wen, LIU Wen-jun, HOU Jue, CHEN Jia-fu, TANG Zi-qiong
Abstract: The physical and mechanical property and microscopic electron microscope scanning tests were conducted on improved expansive soil samples with different silt and lime content. The improvement mechanism was analyzed. The dynamic triaxial test of the improved soil was carried out using the GDS dynamic triaxial apparatus. The influence rules of different dynamic stresses, water content, and cyclic wetting times on the cumulative deformation of the improved soil were studied. A cumulative deformation prediction model of improved soil was constructed. The results show that the addition of 2.5% low-amount lime can not only enhance the mixing property of silt and expansive soil through sanding, but also improve the strength and water stability of single silt physically improved soil. The addition of silt can optimize the particle gradation of expansive soil, increase the porosity of the soil, inhibit the expansion potential of expansive soil, and improve the California bearing ratio (CBR) value of improved soil. The requirements of various indexes of highway subgrade filling can be met by employing 40% silt combined with 2.5% lime to improve expansive soil. At the initial stage of cyclic loading, the cumulative strain of the improved soil increases rapidly. After 2 000 cycles of loading, the cumulative strain of the improved expansive soil accounts for 79.3%, and then the growth rate of the cumulative strain tends to be stable, showing plastic stability. The final cumulative strain of the improved soil has a power function growth relationship with cyclic wetting times. Under the most unfavorable conditions, the final cumulative strain is less than 1.0%. The post-construction deformation meets the long-term stability requirements of the subgrade. A dynamic cumulative strain prediction model is constructed considering the influence of dynamic stress amplitude, water content, and humidification times, providing a reference for the long-term deformation prediction of silt-lime improved expansive soil subgrade.More>
2025, 25(4): 71-79. doi: 10.19818/j.cnki.1671-1637.2025.04.005
Principle and engineering practice of active reinforcement for initial support of soft rock tunnels
CHEN Li-jun, CHEN Jian-xun, GAO Jian-feng, WANG Wan-ping, YANG Bao-dong, GUO Hui-jie
Abstract: The common deformation and failure modes and causes of initial support in large deformation tunnels in soft rocks were summarized. The shortcomings of small-pipe grouting reinforcement in the treatment of large deformation in soft rock tunnels were pointed out. The application of small-diameter prestressed reinforcing anchor cables (referred to as reinforced anchor cables) was proposed for the reinforcement of key parts of initial support in soft rock tunnels. The active reinforcement principle, method, and effect of reinforced anchor cables were analyzed through theoretical and numerical calculations. Based on the engineering background of a typical large deformation tunnel in soft rocks, a reinforcement design and application research of reinforced anchor cables were carried out to quickly and actively reinforce the key parts of the initial support. According to research results, due to factors such as the attitude of the surrounding rock, construction disturbance, excavation span and height, large deformation tunnels in soft rocks tend to see deformation and failure in the initial support arch crown, arch waist, side walls, emergency parking belt ends, and areas near the intersection of main tunnel and transverse tunnel, which are key parts that need to be reinforced. Reinforced anchor cables utilize the displacement rate differences between the initial support surface and the interior of the surrounding rock to anchor the initial support to a relatively stable rock. The application of pre-tensioning forces of reinforced anchor cables can quickly reduce the bending moments of the hazardous cross-section of initial support, while providing active support forces to the surrounding rock. Reinforced anchor cables enhance the constraint conditions of key parts of initial support and improve the bearing capacity of the initial support for subsequent additional loads. It is not necessary for the pre-tensioning force of reinforced anchor cables to go as high as possible. The value is recommended to be 100-300 kN. The reinforced anchor cables have achieved rapid and active reinforcement of the initial support structure, with ideal application results.More>
2025, 25(4): 80-93. doi: 10.19818/j.cnki.1671-1637.2025.04.006
Mechanical response of tunnel structure to hole-breaking process of cross passage pipe jacking construction
LIU Xiao-feng, LI Xiao-long, DUAN Sheng-long, HU Jin-hua, YU Xing-guo, ZHANG Wen-jie, CHEN Ying
Abstract: To investigate the influence mechanism of the hole-breaking process at the launching stage of pipe jacking on the mechanical response of the main tunnel structure, a three-dimensional simulation model for pipe jacking construction of the cross passage was established based on the construction project of the cross passage in Zhengzhou Metro Line 12. The accuracy of the established model was verified by comparison with field monitoring data. The effects of the hole-breaking construction during the launching stage of pipe jacking on the deformation of the main tunnel segments, internal forces, and bolt stress were studied. The evolution of the mechanical response of the main tunnel structure during the hole-breaking construction process was systematically analyzed. Research results show that the hole-breaking construction causes significantly greater disturbance in the circumferential direction of the segments than in the longitudinal direction, and the disturbance range extends approximately twice the diameter of the main tunnel on both sides of the opening. The 90° position of the semi-cutting ring is most affected by the hole-breaking construction. A distinct tensile stress zone is formed on its outer arc surface, with a maximum tensile stress of 9 MPa. The steel-concrete composite segment at this location ensures structural safety. The internal support system reduces the external soil and water pressure on the main tunnel, effectively lowering internal forces and deformation of the segments. As the segment cutting thickness increases, the transverse elliptical deformation of the lining ring gradually increases, and the bolt stress increases. Circumferential bolt stress is significantly higher than longitudinal bolt stress and approaches the yield strength. Internal forces at the upper and lower ends of the opening dramatically decrease, creating a pronounced cantilever effect. The lost load is transferred to less damaged adjacent ring through longitudinal bolts, leading to a significant increase in internal forces at the 90° position of the semi-cutting ring. This redistribution of internal force mainly occurs during the stage of cutting 3/4 of the segment thickness. The results provide important evidence for revealing the influence mechanism of the hole-breaking process in cross passage pipe jacking construction on the mechanical response of the main tunnel structure. The results also offer theoretical reference for the design and construction of similar projects in the future.More>
2025, 25(4): 94-108. doi: 10.19818/j.cnki.1671-1637.2025.04.007
Reflection characteristics and morphological recognition of underground cavity diseases based on 3D ground penetrating radar
WANG Yan-hui, LIU Wen-jing, CUI Guang-yan
Abstract: Aiming at the lack of research on 3D ground penetrating radar (GPR) in the field of cavity disease reflection characteristics, gprMax forward simulation software was adopted to establish a road structure cavity model containing various morphological features (sphere, cube, triangular prism, and irregular geometric body). Based on the mechanism analysis and rule summary of reflection characteristics of B-Scan profile image and C-Scan depth slice image, the corresponding identification method was proposed, and the engineering application and excavation verification were carried out by taking a city road in Nanchang City as an example. Analysis results show that in the two-dimensional profile image, the cavity diseases show the characteristics of a semi-hyperbola, and the position relationship between the cavity diseases and the survey line will affect the display depth of the semi-hyperbola. C-Scan depth slice images are more helpful to show the appearance of cavity diseases, especially the circular cavity diseases. In the C-Scan depth slice image, the shape of cavity diseases will gradually become larger as the time depth intensifies. Is difficult to accurately identify the morphology of cavity diseases from B-Scan profile images only, and it is necessary to combine C-Scan depth slice images for comprehensive interpretation. The proposed method helps to improve the accuracy of 3D GPR image interpretation and achieve the goal of urban road disease control and collapse prevention.More>
2025, 25(4): 109-123. doi: 10.19818/j.cnki.1671-1637.2025.04.008
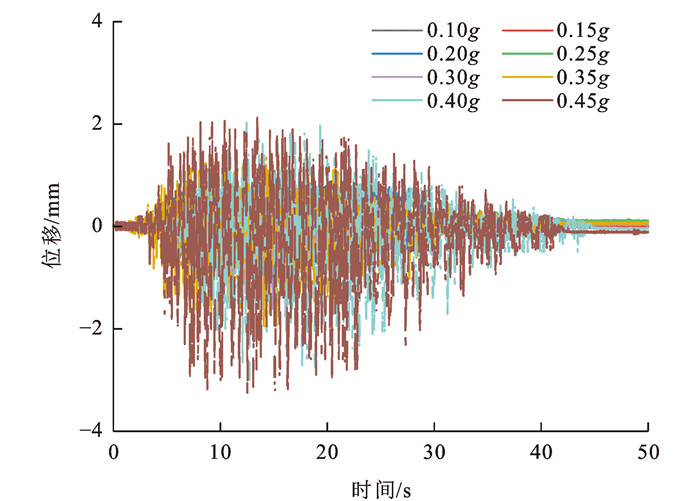
Seismic subsidence characteristics and negative frictional resistance of soft soil around variable cross-section single pile foundations
ZHANG Cong, FENG Zhong-ju, PENG Jian-bing, WANG Fu-chun, WANG Xi-qing, LI Yu-ting
Abstract: To clarify the dynamic response and negative frictional resistance characteristics of variable cross-section single piles in seismic subsidence sites under earthquake action, physical model tests with a large-scale shaking table were carried out with Xiang'an Bridge as the engineering background, and a dynamic interaction model of variable cross-section single piles and soft soil was established. The seismic subsidence characteristics of soil layers, pile acceleration, horizontal displacement at the pile top, and negative frictional resistance under 0.10g-0.45g 5010 wave actions were researched. A calculation formula for seismic subsidence of soil layers based on the principle of vibration consolidation and a calculation formula for negative frictional resistance comprehensively considering soft soil thickness and seismic intensity were proposed. Analysis results indicate that the seismic subsidence amount of soft soil increases with the increase of seismic wave intensity, and when the seismic wave intensity is 0.45g, the seismic subsidence amount of soft soil reaches 0.48 cm. The theoretical calculation formula of soft soil seismic subsidence based on the principle of vibration consolidation agrees well with the test results. The acceleration of variable cross-section single pile foundation gradually increases along the direction of seismic wave propagation, and an acceleration amplification effect is produced at the pile top. The amplification factor of pile top acceleration is greater than 1, and the amplification effect decreases with the increase of seismic loading intensity. Under seismic waves of the same intensity, the peak acceleration at the pile end occurs earlier than that at the variable cross-section and pile top. The horizontal displacement at the pile top of the variable cross-section single pile changes significantly in the early stage of seismic wave loading, and the amplitude gradually decreases in the later stage. The negative frictional resistance of the variable cross-section single pile occurs within the range of 0-3 times the diameter of the large-section pile below the soft soil layer, and it gradually increases with the increase of seismic wave intensity. In summary, under earthquake action, variable cross-section single piles in soft soil seismic subsidence sites are prone to negative frictional resistance effects. In engineering design, optimizing the cross-section design of pile foundations can reduce the adverse effects of negative frictional resistance on bridge pile foundations.More>
2025, 25(4): 124-134. doi: 10.19818/j.cnki.1671-1637.2025.04.009
Static performance test of new separated beam-track slab structure for high-speed maglev
QIN Shi-qiang, LI Yue-xian, GONG Jun-hu, MAO Ling, WANG Qiu-ping
Abstract: To address the complex manufacturing process, high construction difficulty, and difficulty in adjusting track surface alignment in the integrated beam-track structure for high-speed maglev, a new separated beam-track slab (abbreviated as separated beam-track slab) was proposed. A full-scale model test of the separated beam-track slab was designed and conducted to characterize its static performance. Displacement and stress of the grid concrete slab, reinforcement, and steel fastener system under various load levels were measured. Bearing capacity, failure characteristics, and stress distribution in critical regions were analyzed. A refined finite element model of the slab was established using ABAQUS. Sensitivity analyses were performed for structural parameters. Effects of reinforcement diameter and shear stud diameter on static performance were investigated. Displacements and stress distributions under different diameters were compared, and reasonable structural parameters were suggested. Analysis results show that the slab is in a linear elastic state under the design load, with a peak displacement of 0.11 mm. The concrete lateral beam shows micro-cracks for the first time under three times the design load. Under five times the design load, the slab remains operable in a cracked state, with a peak displacement of 0.46 mm, which is below the allowable limit of 0.516 mm. The slab meets the design requirement and has a sufficient capacity margin. Under normal operational state, the maglev train load is mainly borne by the concrete slab. Stress mechanisms of components are clear, and local effects are apparent. Increasing reinforcement diameter can enhance global stiffness and reduce component stress, while shear stud diameter has a minimal effect on static performance. These findings provide reference values for the design of the new separated beam-track slab.More>
2025, 25(4): 135-147. doi: 10.19818/j.cnki.1671-1637.2025.04.010
Quantitative method and application of corrugation intervention degree based on wheel-rail vertical force
NIU Liu-bin, WU Ning, JIANG Shu-guang
Abstract: To obtain the mapping relationship between the intervention degree to be ground for rail corrugation and the wheel-rail vertical force, a wheel-rail dynamics model was built based on the suspension parameters of typical high-speed railways and service vehicles in China. The rail surface irregularity of the corrugation section was finely constructed, with the effects of random short-wave irregularities and wheel out-of-roundness considered. The numerical calculation accuracy of the wheel-rail dynamics model was verified by measured wheel-rail vertical force in corrugation sections of high-speed railways. The wheel-rail vertical forces excited by rail corrugation under four wavelength conditions at 300 km·h-1 were simulated. The time-frequency domain distribution characteristics were analyzed. The variation of wheel-rail vertical force with valley depth under different wavelengths was analyzed. The inadaptability of the wheel-rail vertical force evaluation index was revealed when the excitation characteristics of corrugation were not considered. The mapping relationships between wheel-rail vertical force and corrugation with wavelength within 40-300 mm were fitted under the conditions of grinding management threshold and severe damage threshold. The influences of rail natural vibration modes and wheel-rail contact behavior on the mapping characteristics were analyzed. A corrugation intervention index was introduced by wavelength weighting of the wheel-rail vertical force to quantify the corrugation severity. A calculation process for deriving the intervention index from measured wheel-rail vertical force was proposed. An algorithm was developed to identify corrugation and evaluate its intervention degree on actual railways in the 40-300 mm wavelength range. Analysis results show that, with comparison of 58 measured corrugation samples, the accuracy of corrugation evaluation based on the intervention index reaches 91.4%. The intervention index comprehensively considers the excitation characteristics of the corrugation wavelength and the mechanical behavior of the wheel-rail vertical force. It has good application performance in corrugation identification and severity evaluation. These results provide scientific support for understanding corrugation excitation characteristics, evaluating corrugation states, and making-decisions for rail grinding on actual high-speed railways.More>
2025, 25(4): 148-160. doi: 10.19818/j.cnki.1671-1637.2025.04.011
In-situ testing and evaluation of rust layer stability in long lasting weathering steel bridges
WANG Chun-sheng, WANG Yi-wei, ZHANG Jing-wen, DUAN Lan
Abstract: Based on the formation and damage mechanism of rust layers on weathering steel, the methods for detecting and evaluating the rust layer of weathering steel bridges were summarized. By taking three uncoated weathering steel bridges in China as engineering projects, in-situ tests of rust layers on structural details of typical bridge components were conducted using the visual inspection method and tape adhesion testing method. Through qualitative and quantitative analyses of the rust layer stability, the influence pattern of structural forms, climate, and environmental conditions on the formation of rust layer on weathering steel was clarified. The distribution characteristics and stability differences of the surface rust layer at various locations were analyzed. A technical condition evaluation model for assessing the rust layer stability of long-lasting weathering steel bridges was established, and the technical conditions of rust layer stability across the whole bridge were evaluated, with targeted maintenance and management measures for rust layers provided. The results indicate that the formation of rust layers on weathering steel is affected by various factors, including structural form, moisture, and exposure to light. The weathering steel bridge areas with sufficient sunlight exposure develop rust layers more rapidly and with excellent stability. Bridge areas with good ventilation and minimal water and dust accumulation form better rust layers compared to areas prone to water accumulation, dust accumulation, and poor ventilation. For weathering steel bridges in high-humidity and hot environments, well-ventilated and sun-exposed areas exhibit rapid and stable rust layer formation. The technical conditions of the rust layer stability of weathering steel can be classified into four grades (from 1 to 4) based on three evaluation indicators: the stability of the rust layer on the load-bearing structure, the technical conditions of ancillary bridge structures, and the environmental conditions to which the bridge is exposed. Based on a comprehensive evaluation, the technical condition of rust layer stability of Changxing No. 2 Bridge in Meixian County, Longfang Overpass Bridge of Huangyan Expressway, and Daguo Bridge of Zhamo Highway in Xizang was rated as Grade 2, Grade 2, and Grade 3, respectively. Stable and reliable rust layers on weathering steel are a technical guarantee for designing and utilizing long-lasting weathering steel bridges. The inspection method and evaluation index for rust layer stability of long-lasting weathering steel bridges can provide support for bridge structural design and rust layer maintenance, promoting the engineering application of long-lasting weathering steel bridges.More>
2025, 25(4): 161-178. doi: 10.19818/j.cnki.1671-1637.2025.04.012
Formation mechanism and evolution of welding residual stress in thick plate T-joint
LIU Xiao-guang, ZHU Wei-qing, ZHOU Bo, YU Qi, ZHANG Yi-yi, WANG Hao
Abstract: To clarify the formation mechanism and distribution characteristics of residual stress during the welding process of thick plate T-joint, welding tests of T-joints were conducted on-site. Strain variation curves, thermal cycle curves, and deposition sizes of each weld pass were measured. Along with the ABAQUS finite element software used for simulations, the element birth and death technique was employed to simulate the multi-pass welding process. The welding temperature field, thermal deformation, and spatial distribution of residual stress were calculated. Based on the test and numerical simulation results, combined with existing theories of welding residual stress, the formation mechanism of welding residual stress in thick plate T-joint was studied. The central cross-section of the T-joint and specific paths were selected to analyze the evolution and distribution of welding residual stress. The results show that the thermal cycle curves from both simulations and experiments show a stepwise increase, and the thermal deformation of the base metal exhibits periodic changes. The residual stress in the weld region is mainly tensile in three directions. The maximum longitudinal residual stress in the weld reaches 915 MPa. As the number of weld passes increases, the peak tensile stress rises, with its distribution position shifting outward. The base metal in the heat-affected zone mainly bears compressive stress. Along the plate thickness direction, the longitudinal and transverse residual stress components show a C-shaped distribution. The distribution area and peak value of residual stress also increase with the number of weld passes, reaching a maximum of 486 MPa. Compressive residual plastic strain is the main cause of welding residual stress. For multi-layer and multi-pass welding of thick plates, the tempering effect of the outer weld passes on the inner ones, as well as the overall welding sequence, significantly affects the formation process and final distribution of the welding residual stress.More>
2025, 25(4): 179-189. doi: 10.19818/j.cnki.1671-1637.2025.04.013
Transportation Vehicle Application Engineering
Causes and measures of low-frequency swaying of linear induction motor metro vehicles
LI Wei, LIU Zeng-hua, HU Yi-dong, CHEN Xi-jun, ZHOU Ya-bo, WEN Ze-feng, LI Xiao-xiao, CHEN Jian
Abstract: After more than 10 years of operation, a metro line in China experienced a low-frequency swaying of vehicles with linear induction motors (LIMs). Field tests and numerical simulations were carried out to investigate the cause and control measures of the vehicle swaying. Experimental studies were carried out to assess worn wheel-rail profiles, track irregularity, vehicle dynamics performance, and vibration characteristics. The relationships between wheel-rail contact equivalent conicity, track irregularity, and swaying features were analyzed. Vehicle dynamics simulation was conducted to uncover the mechanism of abnormal swaying and its key influencing factors. Effective measures against the swaying were proposed from three aspects: controlling the wheel-rail equivalent conicities, optimizing suspension parameters, and managing track irregularities, which were validated by field tests. Analysis results show that when vehicles with varying mileage operate at 70-90 km·h-1 on straight tracks and curves with radii over 1 km experience lateral swaying at a low frequency of about 2 Hz. The maximum lateral ride index exceeds 4.0 during the swaying. The measured equivalent conicities of the wheel-rail contact are about 0.1-0.2. This swaying differs from the vehicle hunting instability caused by the low conicity of wheel-rail contact. The cause lies in the closeness of three frequencies: bogie hunting frequency, the natural frequency of the vehicle carbody upper swaying, and excitation frequency of periodic track irregularities with wavelengths of 11-13 mm. Suppressing swaying can be achieved by either reducing the bogie hunting frequency through the use of low-conicity wheel-rail profiles (less than 0.05) or eliminating 11-13 mm irregularities to remove the 2 Hz excitation source. By increasing the longitudinal stiffness of the primary suspension from 10 MN·m-1 to 18 MN·m-1, reducing the lateral stiffness of air spring from 0.183 MN·m-1 to 0.120 MN·m-1, lowering the lateral damping of the secondary suspension from 40 kN·s·m-1 to 20 kN·s·m-1, and employing a wheel-rail friction coefficients of 0.1-0.2, the swaying can be reduced to a certain extent. The results provide theoretical guidance for mitigating low-frequency swaying in linear induction motor metro vehicles, offering important engineering application value.More>
2025, 25(4): 190-204. doi: 10.19818/j.cnki.1671-1637.2025.04.014
Foreign object impact resistance of GFRP plates and polyurea reinforcement characteristics
LI Jian, ZHOU Yao-guang, XIE Zi-hao, GAO Guang-jun
Abstract: In response to the demand for improving the impact resistance performance of glass fiber reinforced plastic (GFRP) shell structures of high-speed trains against foreign object impacts, the mechanical characteristics and impact damage mechanisms of polyurea-reinforced GFRP composites were researched. The mechanical performance parameters of polyurea and GFRP materials were determined through quasi-static tensile tests. Based on an air cannon impact test apparatus, impact tests were performed on 3 mm-thick GFRP plates and GFRP plates coated with different polyurea layers of varying thicknesses (2.5, 3.0, 4.5, and 5.0 mm), using ice balls with a diameter of 30 mm (simulating hail) and aluminum balls with a diameter of 24.5 mm (simulating gravel) as impactors. During the test process, high-speed photography was employed to record the impact process. The impact deformation sequences, damage evolution patterns, and failure modes were analyzed. Scanning electron microscopy was utilized to characterize the microscopic morphology of severely damaged specimens to reveal their damage mechanisms. Research results indicate that polyurea material exhibits high ductility (fracture strain of 2.35), while GFRP demonstrates high strength properties (tensile strength of 141.4 MPa). For 3 mm-thick GFRP plates, the critical velocity for slight damage under ice ball impact is 145.3 m·s-1, which is increased to above 162.6 m·s-1 after coating with 2.5 mm polyurea, representing an improvement of at least 11.9%. Under aluminum ball impact, the critical velocities for slight damage and severe damage of uncoated GFRP plates are 73.2 m·s-1 and 88.8 m·s-1, respectively, which are increased to 88.7 m·s-1 and 119.2 m·s-1 after coating with 4.5 mm polyurea, representing improvements of 21.3% and 34.4%. When the polyurea coating thickness is increased from 2.5 mm to 4.5 mm, the aluminum ball rebound velocity is reduced from 13.15 m·s-1 to 11.92 m·s-1, and the residual velocity after aluminum ball penetration is decreased from 21.1 m·s-1 to 16.9 m·s-1. Scanning electron microscopy analysis reveals that the polyurea coating effectively maintains the structural integrity of glass fibers in the damage zone. When the coating thickness increases to 3 mm, the improvement in critical velocity for slight damage tends toward a plateau, but the critical velocity for severe damage can still be further improved. The findings provide a basis for optimizing coating thickness in the impact-resistant design of lightweight structures for high-speed trains.More>
2025, 25(4): 205-220. doi: 10.19818/j.cnki.1671-1637.2025.04.015
Experimental validation of power distribution control and energy management strategies for hydrogen-electric hybrid power ship
LIU Han-you, FAN Ai-long, XIA Min-jie, LI Tao-tao, WANG Xin-wei, GUAN Cong, YANG Fu-bao
Abstract: To investigate the actual performance of ship energy management strategies in practical hybrid power systems under complex operating conditions, three energy management strategies were tested based on a scaled experimental platform. A hydrogen-electric hybrid ship was selected as the research object, and existing characteristics of onboard energy management systems were utilized to design strategy Ⅰ. Additionally, by establishing eight operational rules for the start-stop cycles of fuel cell stacks, strategy Ⅱ and a state machine strategy were developed. A scaling method for the experimental platform was proposed to simulate both fuel cell systems and battery systems. Based on the optimal efficiency point of the fuel cell and the characteristics of the experimental platform, a scaling factor of 342.857 was designed. In both steady-state and transient conditions, the performance of power distribution control, efficiency, energy consumption, operating pressure, as well as application characteristics and limitations, were analyzed based on experimental data. Experimental results indicate that the average deviation of power distribution control on the experimental platform is within 1%, demonstrating a strong capability to track the reference power of the fuel cell optimized by energy management strategies. Specifically, under steady-state and transient conditions, the state machine strategy achieves average absolute deviations between actual current and reference current of 0.120% and 0.029%, respectively. Among the three proposed rule-based energy management strategies, the state machine strategy shows superior overall performance in terms of energy savings and reduction of operational pressure on the fuel cell. In both steady-state and transient conditions, compared to the existing strategy Ⅰ, the state machine strategy reduces hydrogen consumption by 2.84% and 7.23%, respectively, in comparison to the existing strategy Ⅱ, it reduces the frequency of fuel cell stack start-stop cycles by 83.00% and 84.23%, respectively. The state machine strategy maintains the average efficiency of the fuel cell stack above 52%. However, during its application, this strategy faces challenges such as frequent start-stop operations of the fuel cells, conflicts in decision-making authority, and performance degradation of the fuel cells. Additionally, the proposed experimental method has certain limitations; specifically, the response time of the fuel cell simulation equipment is 1 s with a power loss of 300 W, which is also influenced by testing environments as well as scaling and simplification processes. The proposed experimental method and energy management strategy can serve as a guide for the research and application of efficient energy management strategies in actual vessels.More>
2025, 25(4): 221-237. doi: 10.19818/j.cnki.1671-1637.2025.04.016
Transportation Planning and Management
Rescheduling optimization of ships and berths at hub ports during short-term channel closures
ZHENG Hong-xing, LU Qi-hang
Abstract: To flexibly respond to the impact of short-term closure events at hub ports, the coordinated optimization of ship scheduling and berth allocation at container hub ports was investigated. By focusing on a container hub port with a one-way channel, uncertainty events within the channel that caused partial closures during certain periods were primarily considered. The impact of variations in the expected arrival information of feeder and mainline ships on ship scheduling and berth allocation was taken into account, and a rescheduling decision mechanism was proposed to deal with different scenarios. Both the time constraints imposed by the arrival and departure schedules of the one-way channel and the time required for feeder-to-mainline transshipment operations were considered, and a mathematical model that minimized the sum of the total service cost of the ships and the penalty costs for uncompleted transshipment of feeder ships was constructed. Next, an improved genetic algorithm incorporating the variable neighborhood search (VNS) approach was designed based on the model characteristics. In consideration of the reordering of ship arrival and departure sequences and local adjustments in the actual scheduling process, Cross, 2-opt, and Or-opt operators were designed. To avoid local optima, the operators were randomly selected for neighborhood search based on the ideas of VNS to replace the traditional crossover and mutation operations in genetic algorithms. To enhance population diversity and prevent premature convergence in the search process, interference rules were also incorporated into the algorithm. Finally, multiple sets of ship scheduling case studies of different scales were conducted. The results show that compared to the first-come and first-served strategy and the scheme that only considers berth allocation, the optimal ship and berth resheduling plans obtained by the model and algorithm in this study can reduce the total cost by 28.56% and 11.78%, respectively. The solving efficiency of the algorithm is superior to that of the harmony search algorithm and the immune genetic algorithm. Both the duration and timing of closures affect the total cost, with the timing having a more significant impact. These findings provide valuable decision-making support for port operations.More>
2025, 25(4): 238-253. doi: 10.19818/j.cnki.1671-1637.2025.04.017
Optimization method of personnel allocation plan for apron cargo support
BI Jun, HUI Jing, CHENG Pei-xuan, WANG Yong-xing
Abstract: To enhance the efficiency of air cargo support operations, optimize the allocation of apron cargo support personnel, and ensure the efficient operation and timeliness of air cargo services, a scientifically optimized method that balances human resource optimization and task distribution was proposed. Based on the demand characteristics of the air cargo business, the composition of the apron cargo support personnel groupings was designed. By fully considering the constraints related to the apron cargo support processes, an optimization model for the apron cargo support personnel allocation plan was built. The objective was to minimize the total number of human resources and balance the task load. In line with the characteristics of the model, a task allocation optimization strategy was proposed to enhance the chromosome search direction, and an improved genetic algorithm was subsequently developed to solve the model efficiently. A numerical case study based on actual operational data from a domestic airport was conducted to verify the feasibility and effectiveness of the proposed model and algorithm. The results show that, compared with the traditional genetic algorithm, the proposed improved genetic algorithm significantly enhances the resource utilization rate. The total number of apron cargo support personnel is reduced from 44 to 28, and the human resource utilization rate is increased by 36.36%. In addition, compared with the results obtained directly from the Gurobi solver, the improved genetic algorithm maintains a high level of accuracy while demonstrating a clear advantage in computational efficiency. The Gurobi solver takes 112.28 s to obtain a solution, whereas the improved genetic algorithm requires only 11.17% of that time. The proposed optimization method can reduce redundant configurations and optimize the distribution of personnel task load in a multi-task and multi-constraint dynamic environment. It provides a scientific and efficient solution for the problem of the allocation of air cargo support personnel.More>
2025, 25(4): 254-266. doi: 10.19818/j.cnki.1671-1637.2025.04.018
Key detection node identification method for expressways based on multi-scale temporal graph convolutional network model
ZHAO Yan, WANG Can, RUI Yi-kang, LU Wen-qi, RAN Bin
Abstract: To improve the quality of expressway traffic detection data and optimize the layout of detectors, a key node identification method based on Multi-scale Temporal Graph Convolutional Network (MT-GCN) was proposed; it integrated multi-scale temporal analysis with adaptive dilated convolution to enhance the capacity for learning both short-term fluctuations and long-term trends. It also enhanced the graph convolutional network to learn the topological structure of the traffic network, so as to capture the spatial interaction relationships among key nodes. Combining gradient importance analysis, the network screened out the most representative key detection nodes. Two sets of comparative experiments were designed for the verification of the method's effectiveness, and ablation experiments were performed for the analysis of the contributions of multi-scale temporal analysis and GCN-based spatial feature learning. The research results show that MT-GCN achieves the smallest error under all node coverage rates, and the combination of MT-GCN with Traffic Former performs the best. Under a 60% node coverage rate, the mean absolute error (MAE) is 2.08 km·h-1, and the mean absolute percentage error (MAPE) is 6.25%. Under an 80% node coverage rate, the MAE is 1.42 km·h-1and the MAPE is 4.91%. When the key node coverage rate is in the range of 60%-65%, the optimal balance between performance and resources can be achieved. The ablation experiments show that the performance of the complete MT-GCN is better than that of the models using only GCN or multi-scale temporal analysis. For example, when combined with Spatio-Temporal Graph Neural Network (ST-GNN) under an 80% node coverage rate, the MAE of MT-GCN is 1.59 km·h-1, while the MAEs of the multi-scale temporal analysis model and the GCN model are 1.89 and 2.02 km·h-1, respectively. MT-GCN performs better in representing overall traffic flow than other methods, and can maintain low error rates even when combined with estimation methods that have relatively weak performance.More>
2025, 25(4): 267-280. doi: 10.19818/j.cnki.1671-1637.2025.04.019
TrafficInformation and Control
Multi-vehicle responsive longitudinal and lateral cooperative control method for networked autonomous driving
QU Da-yi, LI Ao-di, ZHANG Zhi, WEI Chuan-bao, WANG Tao
Abstract: In order to study multi-vehicle cooperative control in connected environments and improve road traffic efficiency, a hierarchical cooperative control framework for connected autonomous driving was proposed. The framework divided cooperative control for connected autonomous driving into upper and lower layers. At the traffic management layer, the longitudinal driving strategy was determined. A differential game approach was used to control the longitudinal motion of connected vehicle platoons, aiming to optimize vehicle states within the platoon. At the vehicle control layer, to address steering control, a feedback linear quadratic regulator (LQR) considering feed-forward was proposed. Based on this, the LQR parameter matrix was dynamically adjusted using the artificial potential field method to handle obstacles at different distances and improve the vehicle's lateral control accuracy. For the safety of connected autonomous vehicles (CAV) merging into platoons, a virtual platoon was adopted as the basis, by incorporating vehicle dimensions and critical collision constraints to control the vehicle, thereby ensuring safe CAV merging behavior. CarSim/Simulink was used to build a merging scenario for simulation experiments to analyze and verify the feasibility and effectiveness of the proposed longitudinal and lateral cooperative control method for multiple vehicles. Simulation results show that the spacing within the platoon is more than 20 m when the differential game approach is applied at a speed of 16.67 m·s-1, while the spacing within the platoon is below 40 m at 22.22 m·s-1, indicating that the strategy improves traffic efficiency while ensuring safe distances between vehicles. Compared with the traditional LQR, the LQR that considers potential field strength reduces lateral error and heading error by 6.19% and 7.66%, respectively, at a speed of 22.22 m·s-1. Therefore, the proposed hierarchical longitudinal and lateral cooperative control framework achieves multi-vehicle cooperative and safe operation of CAVs merging into connected platoons, while ensuring longitudinal safety control and stability as well as improving lateral control accuracy.More>
2025, 25(4): 281-295. doi: 10.19818/j.cnki.1671-1637.2025.04.020
Deep reinforcement learning signal continuous control of intersection based on cellular deduction multi-step decision mechanism
ZHAO Hong-xing, WANG Yu-jie, NIE Jiang-long, LIANG Rui-yan, HE Rui-chun
Abstract: To solve the problem that agents in most current adaptive signal control models based on deep reinforcement learning can only perform discrete control of traffic signals depending on the current state, a deep reinforcement learning-based continuous signal control of intersection was established by introducing a multi-step decision mechanism. The operation and transformation of traffic flow were simulated using a cellular deduction method to realize the intersection state transition. After feature extraction, the state obtained by cellular deduction was concatenated with the current release phase, the vehicle arrival rate, and the departure rate from the previous decision cycle as the state input of the model, improving the accuracy of agent decision-making. The multi-step decision mechanism was used to complete the pre-decision of four phases, which were then integrated and transmitted to the signal light to realize the adaptive signal's continuous control. To verify the applicability of the model, simulation analysis was conducted based on the SUMO platform. Measured intersection traffic flow data were used for comparison with five other models under different scenarios. The results show that under four different traffic scenarios, the optimization effect of the proposed model is equivalent to that of the deep reinforcement learning-based signal control model relying on a discrete grid state. Compared with the deep reinforcement learning-based signal control model relying on feature vector state space, the model reduces average waiting time and fuel consumption by at least 9.80% and 4.56%, respectively. Compared with the traditional Webster timing model, the model reduces average waiting time and fuel consumption by at least 9.30% and 4.67%. These results show that the proposed model achieves continuous traffic signal control with good stability and adaptability, which is of positive significance for promoting the practical application of deep reinforcement learning-based signal control.More>
2025, 25(4): 296-310. doi: 10.19818/j.cnki.1671-1637.2025.04.021
Expressway traffic anomaly event detection model based on dual spatio-temporal masks and bidirectional Mamba state space modeling
ZHANG Ding-kai, WANG Yi-zhe, WANG Peng-fei, PENG Qing, DING Lu
Abstract: To address the challenges in traffic anomaly event detection, a traffic anomaly event detection model was proposed based on dual spatio-temporal masks and bidirectional Mamba state space modeling (DSTBM). Masks on the basis of the temporal and spatial extent of anomaly events and their influence range were introduced. The spatio-temporal dynamic effects on traffic caused by anomalies were learned, and the time periods and spatial regions of mask anomalies and their influence range were adapted automatically. A bidirectional Mamba state space model was designed to integrate multi-scale feature extraction with bidirectional state space modeling. The directionality of state space modeling was extended to capture the short-term dynamic features and multi-scale spatio-temporal dependencies of anomalies, and to reduce detection latency. Additionally, an anomaly scoring method was developed through the combination of the isolation forest algorithm with K-means clustering. Anomaly scores were calculated based on spatio-temporal traffic features to distinguish between normal and abnormal traffic states. The proposed model was evaluated on three real datasets. Experimental results demonstrate that DSTBM outperforms all baseline models in the comparative experiments on the SJC and OKA datasets. The indicator precision rate, recall rate, and F1 score, as the evaluation metric for model accuracy, are enhanced by at least 15.32%, 14.98%, and 15.61%, respectively. The indicator latency rate for measuring the model response speed is reduced by 19.79%. In addition, a domestic case study shows that DSTBM maintains effective anomaly detection capabilities in complex urban road environments. The recall rate is 0.607 and the total latency is 12.2 min when K=10%. This highlights its potential applicability and room for enhancement in high-density and intricate road networks. The proposed DSTBM model can effectively capture complex spatio-temporal dependencies and reduce detection latency for traffic anomalies.More>
2025, 25(4): 311-327. doi: 10.19818/j.cnki.1671-1637.2025.04.022
Estimation method for civil aircraft drag polar based on historical trajectory data
WANG Bing, ZHANG Bo-wen, PENG Ying
Abstract: To effectively solve the problem of the unavailability of civil aircraft's drag polar parameters through public channels, a method for estimating the drag of aircraft polar based on historical flight trajectory data was presented. An optimization model for drag polar parameters was constructed based on aircraft performance and thrust models. The optimization model was solved using the Markov Chain Monte Carlo (MCMC) algorithm based on the NUTS. The aircraft's drag polar parameters were obtained. To verify the method's effectiveness and generalizability, three direct flights of an A320 aircraft and 12 major types of current civilian aircraft (1 564 flights) were taken as examples. Estimation of drag polar and trajectory prediction for the climb phase were conducted. The predicted climb profiles were compared against actual climb profiles in quick access recorder (QAR) data. Analysis results show that for typical sample flight, the generated climb profile (climb to the cruising altitude of 341 00 feet) has a relative error of 1.16% of mean climb rate and an absolute error of pressure altitude within 500 feet compared to the climb profile in QAR data. This prediction accuracy is significantly improved compared to the predicted climb profile using reference drag polar from the traditional base of aircraft data. Among the results of bulk sample flights, 96.48% of the flights' predicted climb profiles have an absolute error within 1 000 feet, with average maximum absolute error of 497.71 feet for all flights. Therefore, the proposed method for estimating aircraft's drag polar is suitable for a large number of flights and can provide technical support for high-precision simulation and prediction of civilian aircraft trajectories.More>
2025, 25(4): 328-339. doi: 10.19818/j.cnki.1671-1637.2025.04.023
Privacy-preserving mechanism for trajectory data publishing based on deep generative models
WANG Chao, ZHANG Ze-hui, FAN Na, LUO Chuang, MU Ding, ZHANG Meng-yao
Abstract: In order to overcome the problems such as poor trajectory data quality and insufficient privacy preservation in the trajectory data publishing, a privacy-preserving mechanism for trajectory data publishing based on deep generative models was proposed. Trajectory stop points were extracted by integrating multi-dimensional features such as time, distance, and speed, and the raw vehicle trajectories were segmented to reduce data redundancy and model training complexity. To effectively capture the spatio-temporal features in trajectory data, a trajectory synthesis model based on a generative adversarial network was designed by applying a long short-term memory network combined with a self-attention mechanism. The trajectory sequences were learned using a long short-term memory network and a self-attention mechanism, and then the model was trained with a generative adversarial network to generate high-quality synthetic trajectories. To further enhance the personalized privacy preservation of trajectories, a trajectory prediction model for users was designed by applying a bidirectional gated recurrent unit, and the model was trained with users' historical trajectory information. Through the learning and prediction mode, users' travel patterns were explored and analyzed from the training data to form personalized user trajectory prediction models. The synthetic trajectories were segmented and predicted by the trajectory prediction model. According to the prediction results, the trajectory segments requiring further enhanced privacy preservation were identified, with differential privacy noise added to improve privacy preservation, so as to obtain privacy-preserving trajectories for data publishing. Simulation results show that compared with existing methods, in the scenarios of taxi in Xi'an city and heavy truck trajectory data, the root-mean-square error reduces to 26 m. The JS divergences in spatial and temporal distributions reduce to 0.12 and 0.19, respectively, and the mutual information score reduces to 1.97. The proposed trajectory data preservation mechanism has been significantly improved in terms of trajectory availability and privacy preservation performance, demonstrating a good balance between privacy preservation and data utility.More>
2025, 25(4): 340-354. doi: 10.19818/j.cnki.1671-1637.2025.04.024