留言板

尊敬的读者、作者、审稿人, 关于本刊的投稿、审稿、编辑和出版的任何问题, 您可以本页添加留言。我们将尽快给您答复。谢谢您的支持!

姓名
邮箱
手机号码
标题
留言内容
验证码

2025年  第25卷  第2期

2025年第25卷第2期封面与目录
综合交通/新型交通与新兴交叉技术专栏导语
2025, 25(2): 1-1.
摘要(677) HTML (388) PDF (221KB) (91)
综合交通/新型交通与新兴交叉技术专栏
高速磁悬浮列车技术综述
熊嘉阳, 沈志云, 池茂儒, 吴兴文, 梁树林
摘要: 从高速磁悬浮交通技术发展历程出发,综述了常导电磁悬浮(EMS)、超导电动磁悬浮(EDS)、高温超导(HTS)磁悬浮(钉扎磁悬浮)和“超级高铁”(Hyperloop)永磁电动悬浮等4种高速磁悬浮列车的基本原理和技术特点;从安全性能、运营速度、运营维护、应用前景等四方面综合比较了4种高速磁悬浮列车技术方案的优缺点。研究结果表明:应以政府为主导,统筹谋划中国高速磁悬浮交通的未来发展建议,在常导电磁悬浮列车技术研发经验基础上,将超导电动磁悬浮、高温超导磁悬浮和真空管道高速磁悬浮关键技术研究列入国家科技研发计划,建设中试线试验基地进行布局研发,并有序规划试验线,从而构建中国在磁悬浮交通领域的综合研究体系、试验体系、标准体系和产品体系;在中国特色社会主义制度优势下,应充分把握高速磁悬浮交通发展的战略机遇,遵循科学与技术发展规律和大型系统工程创新研发流程,立足于已有研究基础,持续推进技术进步;4种高速磁悬浮列车由于技术成熟度不同,研究进程安排应循序渐进,分类实施,确保中国在高速及超高速交通运输领域的持续领先地位,为“交通强国”战略的实施作出积极贡献。更多>
2025, 25(2): 1-23. doi: 10.19818/j.cnki.1671-1637.2025.02.001
摘要(4251) HTML (1088) PDF (14764KB) (299)
基于文献计量分析的常导高速磁浮线路轨道系统研究进展
叶丰, 王楷, 曾国锋, 孙友刚
摘要: 为全面分析常导高速磁浮线路轨道系统的研究进展,通过Web of Science、EI、中国知网与万方数据核心数据库检索获取1987~2023年321篇中英文相关文献,涵盖16个国家与地区和59个国内机构;首次利用文献计量方法并借助CiteSpace工具构建科学知识图谱梳理常导高速磁浮线路轨道系统研究进展;基于文献时空分布特点,关键词共现、突现与聚类分析,对领域发展脉络、研究力量、研究主题与热点进行分析总结并可视化展示。研究结果表明:常导高速磁浮线路轨道系统研究经历了发展起步阶段、初步发展阶段,目前正处于高速发展阶段;领域研究热度与重要工程建设和政策支持呈正相关;中国是领域研究的中坚力量,所发表英文研究成果占总体的83.82%;研究核心机构以高校为主,与企业有紧密联系;研究主题主要围绕线路设计优化,轨道梁结构设计,轨道制造和安装技术研究,轨道静力学与动力学性能分析,环境荷载响应分析,系统耦合动力学响应分析,轨道结构检测、监测与维护等7个方向展开;从研究热点上看,以车轨耦合效应、轨道结构检测与监测为主,设计、制造和维护等方面的研究还略显不足。上述计量分析成果表明常导高速磁浮线路轨道系统研究还存在较大提升空间,中国新一代时速600 km高速磁浮交通发展将是提升该领域研究水平的良好契机。更多>
2025, 25(2): 24-36. doi: 10.19818/j.cnki.1671-1637.2025.02.002
摘要(1675) HTML (386) PDF (11452KB) (118)
基于文献计量的综合交通研究综述
徐志刚, 申丹丹, 高赢, 赵祥模, 杨敏, 杨晓光, 董春娇, 杨忠振
摘要: 为全面了解综合交通领域的研究进展,本文采用文献计量方法,系统检索了1990~2024年间在WOS核心数据库和中国知网(CNKI)数据库中收录的相关文献,共计32 111篇,涉及2 244位作者和1 422个关键词;通过科学知识图谱对文献分布、发文国家、研究机构及作者进行了系统分析和可视化呈现,并通过分析关键词共现图谱和聚类图谱揭示了该领域的研究热点;结合突现词分析,预测了未来研究方向。研究结果表明:综合交通研究经历了缓慢增长、平稳增长和快速增长3个阶段,研究热点集中在综合交通系统分析、规划与设计、运行及物流等方面,分别包括综合交通系统的供需关系、网络模型、出行行为与土地利用的关系,综合交通网络布局优化、区域连接性与互通性提升,多交通方式的无缝衔接和高效运作,物流网络、运输路径优化及货物流动效率提升等领域;目前,国内外研究重点高度重合,但仍存差异,国内学者更关注综合交通的战略发展、结构优化、综合规划及国家急需场景研究,而国际研究则侧重于多模式交通理论及新兴技术应用。未来,随着人工智能、大数据、区块链、数字孪生等技术的发展,综合交通研究将朝着更加综合化、立体化、数字化、网联化、共享化、低碳化的方向发展,以实现交通时空资源与能源、算力的高效利用,跨行业、跨领域、跨部门、跨层级的合作与协同将成为推动综合交通研究持续发展的关键,促进资源整合与优化,建设高效、智慧、安全和环保的综合交通体系。更多>
2025, 25(2): 37-60. doi: 10.19818/j.cnki.1671-1637.2025.02.003
摘要(2016) HTML (521) PDF (20022KB) (160)
高速磁浮车辆悬浮系统多元基神经网络容错控制
孙友刚, 黄志创, 林国斌, 徐俊起, 吉文
摘要: 针对高速磁浮车辆长期服役下的系统参数摄动,执行器故障和左、右电磁铁耦合问题的综合影响,分析了磁浮车辆悬浮系统搭接结构在通过车体连接过程中所出现的左、右电磁铁的相互耦合关系和执行器故障,并提出了一种基于多元基函数的神经网络自适应容错悬浮控制方法;将多元基函数引入到神经网络中,并针对控制过程中的复杂和不连续问题,引入了神经网络的上范数界处理的方法;通过基于Lyapunov函数证明所提方法对故障的容错性和对不确定系统动态的鲁棒性,在此基础上证明了控制方法的最终一致有界性。试验结果表明:在电磁铁发生部分失效的情况下,自适应变量能根据故障情况发生变化并影响控制电流,进而实现容错性能;分别跟踪平稳信号时,左、右电磁铁的最大跟踪误差分别为0.2、0.1 mm,平均误差分别为0.14、0.09 mm;分别跟踪正弦信号时,左、右电磁铁的最大跟踪误差分别为0.2、0.1 mm,平均误差分别为0.18、0.10 mm;分别跟踪方波信号时,左、右电磁铁的最大跟踪误差均为1.1 mm,平均误差分别为0.18、0.14 mm。所提方法在左、右电磁铁上均能够适应故障问题,快速跟踪期望信号,满足磁浮车辆在运行中的可靠性与安全性。更多>
2025, 25(2): 61-74. doi: 10.19818/j.cnki.1671-1637.2025.02.004
摘要(1701) HTML (426) PDF (10307KB) (124)
基于中子散射技术的铁路车轴残余应力测试及寿命评估
胡飞飞, 秦天宇, 奥妮, 徐平光, 苏玉华, 帕克·约瑟夫·登, 筱原武尚, 菖蒲敬久, 康国政, 任明明, 麻义忠, 康锋, 吴圣川
摘要: 为准确预测表面强化铁路车轴剩余寿命,提出了考虑三维残余应力的损伤容限分析方法;以感应淬火碳钢S38C车轴为例,综合利用中子布拉格边透射成像与角度分散中子衍射试验,开展残余应变二维分布表征以及三维残余应力测试;采用数值方法,将三维残余应力植入车轴模型,研究了在实测载荷谱、压装载荷以及残余应力耦合作用下全尺寸车轴的剩余寿命。试验结果表明:轴向和切向均呈现约3 mm的压缩残余应变梯度层,表层最大压缩残余应变达-4.5×10-3,但芯部的最大应变为1.0×10-3;车轴最大轴向和切向压缩残余应力分别约为-500、-303 MPa,而径向应力整体保持在零平均应力范围波动,距表层4.5 mm深度以后,3个分量均为拉伸应力;车轴表层受压缩残余应力影响,深度小于4.5 mm时不会发生裂纹扩展,当深度大于4.5 mm以后裂纹扩展加速;裂纹扩展深度阈值不同,导致无残余应力条件下的剩余寿命计算结果大于考虑三维残余应力情形,但在最保守条件下车轴的剩余服役里程22.7万公里超过3.5个探伤周期,有较大安全裕度。试验结果可以为表面强化铁路车轴的无损探伤周期制定和优化提供科学参考。更多>
2025, 25(2): 75-93. doi: 10.19818/j.cnki.1671-1637.2025.02.005
摘要(1766) HTML (496) PDF (26727KB) (128)
基于改进SMO的轨道交通直线感应电机无速度传感器MPTC
胡海林, 虞诗焱, 黄伟毅, 翟明达, 严庄宇
摘要: 针对轨道交通直线感应电机(LIM)无速度传感器模型预测控制对速度观测的鲁棒性及模型精度要求较高的问题,提出了一种基于改进滑模观测器(SMO)的模型预测推力控制(MPTC)策略,应用改进滑模观测器提高速度及磁链观测的实时性及鲁棒性,降低对模型精度要求,实现LIM无速度传感器模型预测高性能控制;考虑动态边端效应,建立静止坐标系下LIM动态模型;建立模型预测推力控制离散模型,提出了基于改进SMO的磁链和速度的观测方法,并完成基于改进SMO的直线感应电机无速度传感器模型预测推力控制系统设计;为提高速度及磁链的估计精度,减小滑模抖振,提高收敛速度,设计一种基于连续sigmod函数的开关函数,并采用改进变指数幂次趋近律,平衡系统快速收敛及抖振间的矛盾;对改进SMO的稳定性和动态性能进行分析,搭建硬件在环试验环境验证算法的有效性。试验结果表明:改进SMO观测精度高,在次级电阻、励磁电感突变时,速度观测误差为0.20和0.35 m·s-1,均减小了1.4%;在引入方差为0.01的白噪声扰动时,最大误差为0.2 m·s-1,误差率约为1.8%,观测器收敛速度快,观测结果抖动小,具有较好的抗干扰能力;在多速域工况下,误差为0.075 m·s-1,同样可以满足性能要求,同时基于改进SMO的直线感应电机无速度传感器MPC控制系统稳态误差小,动态响应快,系统鲁棒性能好。更多>
2025, 25(2): 94-107. doi: 10.19818/j.cnki.1671-1637.2025.02.006
摘要(1575) HTML (349) PDF (9513KB) (101)
低真空管道列车激波特性风洞试验研究
黄尊地, 谭梦成, 许振国, 常宁, 符澄
摘要: 为研究列车在低真空管道内高速运行时面临的激波效应等难题,基于风洞试验采用磁悬浮列车模型测试了管道列车流场出现激波的马赫数及不同马赫数下管道列车出现激波的位置及特征;利用纹影系统拍摄了风洞内管道列车周围流场,深入探讨了管道列车与周围空气之间的相互作用机制和激波现象;采用计算流体力学方法,成功地模拟了管道列车的实际运行情况,并将模拟结果与风洞试验的流场数据进行了比对,发现风洞试验结果与数值计算结果的激波特性一致。研究结果表明:阻塞比为0.112,当马赫数分别为0.5、0.6、0.7时,管道列车流场没有出现激波,当马赫数为0.8时,在管道流场首次出现激波;管道列车激波位置有两处,分别为车肩和车尾位置;气体在列车前端形成流动分离,气流沿车头流经管道和列车中间,横断面减小,马赫数增加,在车肩位置形成声速线,声速线后区域气体密度及压力激增形成激波;气体流经车体与车尾过渡处,横断面增大,马赫数继续增加,在车尾附近形成流动分离,速度减小至声速,气体密度及压力激增形成激波;风洞试验与数值模拟数据吻合,证实了临界马赫数0.8的激波产生阈值。更多>
2025, 25(2): 108-117. doi: 10.19818/j.cnki.1671-1637.2025.02.007
摘要(983) HTML (334) PDF (11660KB) (84)
自主船舶适航标准界定与适航风险指标体系构建方法
周翔宇, 金诗奇, 王新宇, 李桢, 聂生政, 刘正江, 章文俊
摘要: 为解决自主船舶适航标准不明、适航状态评判依据模糊、适航风险定义缺失、适航风险难以识别等系列问题,从主观标准、客观标准、时间标准3个维度明确了适用于自主船舶的适航标准;界定了自主船舶适航性与适航风险的概念;以识别自主船舶适航风险为目标,首次提出了面向自主船舶适航风险的指标体系构建方法;基于多源适航风险数据的收集和预处理结果,完成了适航风险影响因素的提取与聚类;引入系统工程过程方法,实现了自主船舶适航风险指标体系的解耦与重构。研究结果表明:自主船舶适航标准中的主观标准可与现行标准保持一致,客观标准需进行一般性解释和扩张,时间标准则需针对部分事项和部分自主程度船舶扩展至“海上航程”,建立持续适航的适航管理体制;构建的自主船舶适航风险指标体系涵盖了3种风险类别,基于不同自主程度设置初始适航性评价指标分别为19、31、29、29项,持续适航性评价指标分别为0、9、28、28项。形成的自主船舶适航标准与适航风险指标体系可为评估自主船舶适航状态、制定适航风险控制策略、形成不适航超前预警能力、揭示适航风险演化规律与传播路径提供理论基础与技术保障。更多>
2025, 25(2): 118-140. doi: 10.19818/j.cnki.1671-1637.2025.02.008
摘要(1920) HTML (398) PDF (7040KB) (105)
内河船舶远程驾控技术试验研究
李梦霞, 徐图远, 邹天悦, 柳晨光, 郑茂, 初秀民, 严新平
摘要: 为探究内河船舶远程驾控技术的可行性和可靠性,设计了一套船岸协同远程驾控系统;使用4G/5G双通道网络架构构建了高效稳定的船岸间通信;采用远程驾控人机切换控制策略,从物理层面实现人工驾驶与远程驾驶的模式切换;通过将现有内河传统船舶改造成远程驾驶船舶,在内河水域针对对遇、交叉、追越等典型会遇局面开展了远程避碰试验,并基于最近会遇距离和最近会遇时间的风险模型分析风险态势变化,深入挖掘船舶远程驾控存在的问题。试验结果表明:该远程驾控技术在内河库区狭窄航段的应用可行,但存在远程驾控员与驾控船舶物理分离,存在临场感、情景意识缺失等现象,难以精确感知交通态势并影响操纵决策,试验过程中感知与控制链路均受到网络的影响,通信平均延迟在1 s以内,最大延迟达到3 s,对内河船舶避碰决策的影响较大,增加了远程驾驶的风险; 远程驾驶涉及复杂人机交互与协作,需要采用先进的技术,包括数字孪生、高精度船舶运动建模、船舶姿态实时监测反馈及通信补偿等,实船试验为系统设计提供了理论和技术支持,未来需融入更高级的机器认知和决策功能,以减少人机冲突并提高智能化水平。更多>
2025, 25(2): 141-155. doi: 10.19818/j.cnki.1671-1637.2025.02.009
摘要(1589) HTML (500) PDF (20716KB) (115)
基于异质车辆群体协同的特殊车辆优先控制方法
张振, 赖金涛, 杨晓光
摘要: 在网联自动驾驶车辆和人类驾驶车辆混行的异质车辆群体环境中,为应对现有特殊车辆优先运行易受干扰以及对系统扰动严重的问题,在特殊车辆优先控制中加入了个体优先效益和系统运行效益的多目标考量;构建了通行需求差异化分级响应机制,确定了不同车辆对路权资源需求的优先响应等级;设计了集中式路权分配与分布式车辆轨迹规划的分层框架,上层以不同通行需求优先响应等级为依据进行路权分配决策,下层以路权分配结果为目标对自车进行分布式轨迹规划,对特殊车辆进行优先路权的需求响应式供给;为验证控制方法的有效性和先进性,选取了不同饱和度(0.8~1.4)和不同渗透率(0.3~0.8)条件,对比了不同特殊车辆优先控制方法。仿真结果表明:在优先水平方面,所提出方法中的特殊车辆的通行延误在0.1 s以下,有效地保障了特殊车辆在异质车辆群体环境下的绝对优先;在交叉口运行效率方面,当交通需求饱和度小于1.0时,所提出方法可保证较高的交叉口运行效率,当交通需求饱和度大于1.0时,所提出方法受网联自动驾驶车辆渗透率影响显著,且渗透率越大,所提出方法则能更好地保证交叉口运行效率。更多>
2025, 25(2): 156-169. doi: 10.19818/j.cnki.1671-1637.2025.02.010
摘要(1218) HTML (336) PDF (11787KB) (99)
基于神经常微分方程的自适应图时空同步交通流预测方法
史昕, 胡欣倩, 赵祥模, 马峻岩, 王建
摘要: 针对现有交通流预测中时空特征获取的连续性与同步性问题,提出了一种基于神经常微分方程的自适应图(AGNODE)时空同步交通流预测模型;基于历史交通流量数据的语义和距离相关性构建了双路先验邻接矩阵,利用动态滤波和节点嵌入设计了权重可自动调整的自适应邻接矩阵;结合先验和自适应邻接矩阵,利用线性加权融合建立了静动态图融合层,通过虚拟连接层内顶点特征构建了包含时间和空间2个维度的自适应时空同步结构图;引入神经常微分方程(NODE)求解图卷积网络(GCN)形成了图卷积神经常微分方程(GCNODE),利用求解步长时间对齐和GCNODE双层堆叠构建了AGNODE模型;利用加州高速公路公开交通数据集(PeMS04和PeMS08),结合平均绝对误差(MAE)、均方根误差(RMSE)以及训练和推理时间等指标,测试验证了AGNODE模型。分析结果表明:相比最优基线模型STGODE,AGNODE的单步预测(5 min)在PeMS04上MAE和RMSE分别降低了3.6%和2.8%,在PeMS08上MAE和RMSE分别降低了2.2%和1.7%;AGNODE的多步预测(15、30、60 min)在PeMS04上MAE和RMSE分别平均降低了3.0%和2.4%,在PeMS08上MAE和RMSE分别平均降低了3.6%和1.2%;随着模型网络层数增大,AGNODE的MAE和RMSE分别降低了5.3%和2.6%,STGODE的MAE和RMSE分别降低了0.7%和0.6%;AGNODE的训练和推理时间相比ASTGCN,在PeMS04和PeMS08上分别减少了11.4%和7.5%,相比STGODE以增加不超过7.7%的时间成本得到更好预测精度。可见,AGNODE模型具有较强的时空建模和参数适应能力,可以准确预测短时交通流量,能够为交通参与者提供可靠的流量信息与决策依据。更多>
2025, 25(2): 170-188. doi: 10.19818/j.cnki.1671-1637.2025.02.011
摘要(1715) HTML (579) PDF (17819KB) (115)
不确定需求下基于云仓储的物流网络节点选择
吴迪, 石帅杰, 张雅婷, 郑建风, 刘保利
摘要: 为了降低需求不确定对城市配送网络效率和稳定性的影响,研究了基于云仓储的物流网络节点选择问题;考虑云仓、车辆的容量及缺货保证率等现实因素,构建以云仓租赁与配送总成本最小为目标的混合整数非线性随机优化模型;设计了融合模拟植物生长算法、邻域搜索算法、动态规划与遗传算法的三层混合算法求解模型;在外层框架中,基于自适应模拟植物生长算法,对云仓的数量和选址进行优化;在中层框架中,基于嵌入量-距-成本积聚类算子的改进邻域搜索算法,对云仓与需求点的服务关系进行优化;在内层框架中,基于动态规划节约算法,对配送车辆路径进行优化,并基于遗传算法,对干线车辆路径、各云仓租用面积和补货周期进行优化。研究结果表明:设计的算法相比于现有算法所获得方案的总成本最高由367.34万元降低至350.82万元,相比已有的算法成本降低幅度为2.48%~4.50%;在云仓和需求点数量相同的情况下,产销地距离与干线运输成本呈负相关,与租仓面积以及补货周期呈正相关;云仓单位租金与干线运输成本呈正相关,与租仓面积以及补货周期呈负相关;云仓与需求点分布越聚集,云仓储系统的配送成本越小;在同一分布下,需求点数量与被选择的云仓数量以及租仓面积呈正相关。研究结论可为云仓物流网络设计提供决策参考。更多>
2025, 25(2): 189-203. doi: 10.19818/j.cnki.1671-1637.2025.02.012
摘要(721) HTML (420) PDF (4478KB) (104)
交通基础设施工程
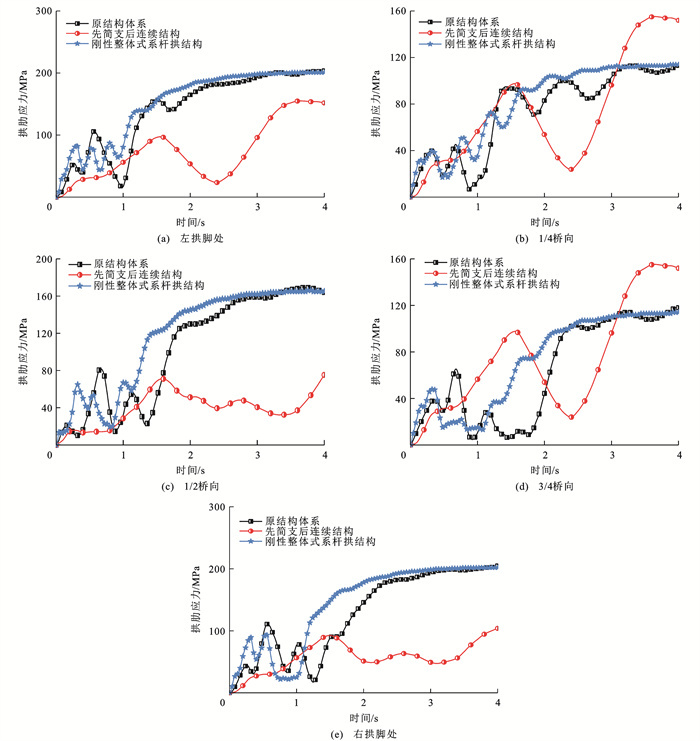
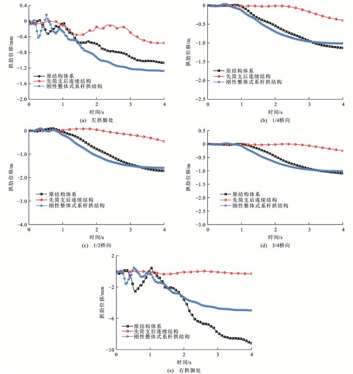
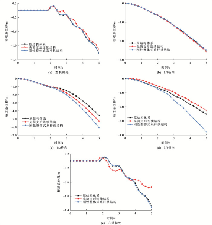
考虑吊杆系统性失效的多跨下承式系杆拱桥强健性设计
范冰辉, 孙绮, 陈宝春, 陈康明
摘要: 为研究吊杆系统性失效对下承式系杆拱桥产生的动力冲击效应,首先采用3种数值计算方法(LS-DYNA重启动法、生死单元法、全动力分析法)模拟吊杆断索效应,并与吊杆破断试验的动力响应数据进行对比,以选择最优的吊杆系统性失效模拟方法;其次,为加强多跨下承式系杆拱桥结构的强健性和防连续性垮塌性能,提出先简支后连续结构、刚性整体式系杆拱结构2种形式的结构体系,采用失效模拟方法分析对比了结构改造前后吊杆系统性失效下剩余结构的动力响应,并利用Simple-Johnson-Cook模型对桥梁破坏过程进行仿真,获取结构最终破坏形态;在此基础上,探讨了吊杆系统性失效下结构的连续性垮塌破坏机理。研究结果表明:LS-DYNA重启动法的模拟结果与试验数据误差较小,能够更好地模拟吊杆瞬时破坏时的工况;先简支后连续结构在吊杆系统性失效下桥道系的最终破坏损伤程度最小,传力路径更长,可以有效地延缓结构的破坏历程,减小发生连续性垮塌事故的风险,为交通疏散争取时间;而刚性整体式系杆拱结构由于初始刚度较高,易引发应力集中,导致桥道系局部过早失效。因此,先简支后连续结构可适用于新建的多跨下承式系杆拱桥的设计,或可通过在墩顶设置可更换式节点,从而将其便捷地应用于既有桥梁的强健性改造中。更多>
2025, 25(2): 204-217. doi: 10.19818/j.cnki.1671-1637.2025.02.013
摘要(1382) HTML (361) PDF (20599KB) (119)
钢结构用高强度螺栓摩擦型连接抗剪性能的腐蚀退化
卢林枫, 聂少锋, 丁松林, 马忠义, 李瑞, 王为, RAFTERYGary
摘要: 为了调查和对比外部和内部涂料防腐对高强度螺栓摩擦型连接抗剪性能的影响,开展了相关试验研究;在摩擦面有无防腐涂层和有无外部防腐涂装,以及考虑外部防腐涂装施工维护的预设条件下,进行了17组43个高强度螺栓摩擦型连接件的未腐蚀和腐蚀后的抗剪性能试验,对涂刷环氧富锌底漆和醇溶性桥梁专用无机防锈防滑底漆的摩擦面抗滑移系数,摩擦面采用常见喷砂处理的摩擦面抗滑移系数进行了校准试验。试验结果表明:摩擦面喷砂的抗滑移系数为0.44,达不到规范建议值;摩擦面涂环氧富锌底漆的抗滑移系数为0.27,摩擦面涂刷醇溶性桥梁专用无机防锈防滑底漆的抗滑移系数为0.50,二者都高于规范建议值。人工模拟C4大气腐蚀环境,开展干湿交替铜加速乙酸盐雾试验(CASS);完成了摩擦面喷砂处理、涂刷环氧富锌底漆、涂刷醇溶性桥梁专用无机防锈防滑底漆和外部涂装防腐以及未防腐试件的一次腐蚀试验;外部防腐涂料经施工维护后的二次腐蚀试验。试验结果表明:室内加速腐蚀试验的加速性是可预和可控的;外部防腐涂料不能阻止高强度螺栓摩擦型连接抗剪承载力的显著退化,退化幅度为4.9%~19.0%;摩擦面经涂料防腐后,能有延缓连接抗剪承载力的腐蚀退化;钢结构外部防腐涂料经过施工维护后的防腐蚀能力会逐渐下降。通过高强度螺栓摩擦型连接的抗滑移试验,调查了在人工模拟C4大气腐蚀环境下,不同预设条件(内外防腐涂料、外防腐涂料维护)下腐蚀对高强度螺栓摩擦型连接抗剪承载力退化的影响;研究结果表明:外部无防腐的高强度螺栓摩擦型连接的抗剪承载力退化程度约为有外涂料防腐对比试件的1.5~1.8倍;C4大气腐蚀环境下,有外防腐的高强度螺栓摩擦型连接抗剪承载力退化的主因是抗滑移系数降低;无外防腐的高强度螺栓摩擦型连接抗剪承载力退化的主因是高强度螺栓预拉力损失。更多>
2025, 25(2): 218-234. doi: 10.19818/j.cnki.1671-1637.2025.02.014
摘要(1172) HTML (383) PDF (32570KB) (103)
紫外与疲劳荷载交替作用下桥梁缆索开裂HDPE护套水分扩散规律
孟庆领, 段昊辰, 王宝林, 郭晓宇, 王海良, 张鹤
摘要: 为揭示服役过程中缆索承重体系桥梁索体开裂高密度聚乙烯(HDPE)护套的水分扩散机理,首先对预制槽护套施加紫外与疲劳荷载交替作用以获得疲劳裂纹,在此基础上开展了开裂护套水分扩散试验,定义了护套等效裂纹面积,揭示了水分扩散通量与扩散系数变化规律。研究结果表明:单一紫外作用未显著改变开裂护套的水分扩散行为,而在单一疲劳荷载作用下,当疲劳加载次数从4.50×104增加至1.35×105时,水分扩散通量与扩散系数均增加了6.16%,当试件开裂面积较小时,护套的水分扩散性主要受疲劳荷载作用的影响;考虑紫外与疲劳荷载交替作用时,相比于单一疲劳荷载作用,1次交替与2次交替作用下,水分扩散通量与扩散系数均分别增加4.80%与8.57%,两者交替作用顺序亦会影响开裂护套水分扩散规律,先施加紫外作用可增强疲劳荷载作用效应,相同疲劳加载次数下水分扩散通量与扩散系数均可提升8.42%,而后施加紫外作用的试件在1次交替作用时与单一疲劳荷载作用结果相近,在2次交替作用时仅提升4.49%。可见,考虑单一紫外或疲劳荷载作用不足以充分解释缆索开裂护套服役过程中的水分扩散规律,预测索体内部水分累计规律需综合考虑紫外与疲劳荷载的耦合作用,该研究成果可为桥梁缆索的维护和修补提供依据,以延长索承桥梁寿命。更多>
2025, 25(2): 235-251. doi: 10.19818/j.cnki.1671-1637.2025.02.015
摘要(961) HTML (233) PDF (37596KB) (100)
基于响应面的上加劲双层钢桁梁桥多目标优化算法
王凌波, 郭欣军, 赵鹏, 朱成龙
摘要: 为优化上加劲双层钢桁梁桥设计参数,在确保结构安全性的同时降低上部结构工程量,提出了一种基于响应面的适用于多目标优化的改进AdaDelta算法。以一座公轨两用桥为依托工程,建立了关于桥梁初始设计参数的多尺度混合单元模型,进行了计算精度验证;基于桥型结构及受力特点,选取上下弦杆高度、桁架高度、加劲竖杆最大长度和桥面板厚度作为待优化结构参数,选定结构跨中活载挠度、加劲弦最大拉应力、桥面板最大弯曲应力、墩顶截面下弦杆最大压应力、腹杆最大稳定压应力和上部结构工程量为目标函数,建立了反映待优化参数与目标函数非线性关系的响应面拟合方程组;采用改进AdaDelta算法对上加劲双层钢桁梁桥的设计参数进行优化,并与PSO及NSGA-Ⅲ的优化结果进行了对比。研究结果表明:响应面法可准确拟合待优化参数与目标响应函数间的数值关系,采用轻量化方程拟合精度达97%以上、变异系数小于1%,在保证计算精度的同时大幅提升了计算效率;提出的改进AdaDelta算法保留了传统AdaDelta算法收敛速度快、优化过程抖动小的特点,引入的满意度与重要性双权重控制准则使优化结果针对性更强、工程适用性更广,多目标优化满意度结果可平均提升6%;设计参数优化后发生了结构内力重分布,结构跨中活载挠度、加劲弦最大拉应力和桥面板最大弯曲应力分别增加了10.37%、4.65%和4.99%,墩顶截面下弦杆最大压应力和腹杆最大稳定压应力分别降低了0.86%和4.34%,上部结构的工程量降低了4.11%,在保证结构安全的前提下大幅降低了工程造价。提出的算法高效且易于操作,可根据具体优化需求灵活调控权重以达成不同目标导向的设计决策,适合推广至其他体系桥梁的优化设计实践中。更多>
2025, 25(2): 252-269. doi: 10.19818/j.cnki.1671-1637.2025.02.016
摘要(1537) HTML (369) PDF (14740KB) (91)
基于KPSO算法悬索桥纵向约束体系减振优化
李光玲, 高欢, 韩万水, 兰官奇
摘要: 为实现运营期风和车流作用下悬索桥纵向约束体系减振优化,融合Kriging代理模型和具备全局寻优能力的粒子群优化(PSO)算法,构建了KPSO算法;基于已有风-车-桥耦合振动系统,分析了运营期正常风、随机车流、车流制动和台风作用下某大跨悬索桥的纵向振动特性,分析了刚性中央扣和变参数黏滞阻尼器等参数对悬索桥减振的敏感性;以梁端和塔顶纵向位移、吊索缆端-梁端相对纵向位移为指标,以指标累积值控制效率为目标,开展了不同权重系数的荷载水平下悬索桥纵向约束体系的减振优化设计。分析结果表明:算例中样本试验值和代理模型计算值间的估计误差均小于5%,构建的KPSO算法可为悬索桥纵向约束体系的最优化设计提供算法基础;刚性中央扣对吊索缆端-梁端相对纵向位移的减振控制显著,梁端阻尼器仅对梁端纵向位移和靠近梁端吊索的缆端-梁端相对纵向位移的减振控制显著,但不利于跨中短吊索的纵向减振,且短吊索缆端-梁端相对纵向位移均随阻尼系数增大而增大,随速度指数增大而减小;悬索桥纵向减振效率按刚性中央扣+阻尼器体系、仅有跨中刚性中央扣体系、仅有梁端阻尼器体系的顺序依次减小。由此可见,综合考虑阻尼力最小原则,建议悬索桥采用刚性中央扣+阻尼器[1.0 MN·(m·s-1)-0.2]的纵向约束体系。更多>
2025, 25(2): 270-282. doi: 10.19818/j.cnki.1671-1637.2025.02.017
摘要(529) HTML (187) PDF (19398KB) (84)
考虑行波效应的桥上Ⅲ型板式无砟轨道系统震致响应
张鹏飞, 徐朗, 唐强强, 王承隆, 闫斌
摘要: 为分析考虑行波效应的El-Centro地震波对轨道桥梁结构动力响应的影响,探究行波效应下扣件纵向阻力、固定支座墩/台顶纵向刚度变化时桥梁构件的受力和变形规律,以简支梁桥为研究对象,基于有限元法和梁-板-轨相互作用原理,在ABAQUS平台建立了11~32 m简支梁桥Ⅲ型板式无砟轨道模型,采用直接加速度法模拟行波效应,根据动力响应分析结果,给出了相应影响因素的建议值。研究结果表明:考虑地震行波效应时,不同工况下的桥梁结构沿纵桥向的受力和变形规律基本一致,但考虑行波效应的地震激励使轨道桥梁结构沿行波传播方向发生位移;随着视波速的增大,各构件纵向最大应力/力变化规律不一致,需要结合视波速进行分析;构件纵向最大位移随着视波速的减小而增加,其中墩/台顶纵向位移变化最显著,增幅达49.8%;采用15.0 kN·组-1或10.0 kN·组-1扣件时,构件的受力与变形基本相同,其中构件最大位移差均小于5.0%;使用4.1 kN·组-1小阻力扣件时,增加了除钢轨外其余构件31.6%以上的拉应力,增加了236.0%的构件位移和948.0%的轨板相对位移,因此,建议选择纵向阻力高于10.0 kN·组-1的扣件;固定支座墩/台顶纵向刚度与构件最大受力/变形呈正相关关系,其中轨道板纵向位移增幅最大,为87.2%,因此,桥上采用小于1.0倍系数值的支座纵向刚度。研究成果可为震区桥上Ⅲ型板式无砟轨道结构的抗震设计提供理论参考。更多>
2025, 25(2): 283-295. doi: 10.19818/j.cnki.1671-1637.2025.02.018
摘要(869) HTML (357) PDF (15880KB) (84)
基于轮轨动力学模型的有砟线路空吊区段力学行为研究
牛留斌, 赵延锋, 刘万里, 周威, 蒋曙光
摘要: 为研究有砟线路轨枕暗坑空吊病害激励下的轮轨力学行为和钢轨挠曲变形特征,以中国典型有砟线路结构和服役车辆悬挂系统参数构建轮轨动力学仿真模型,细化空吊区轨枕与道砟接触状态,数值模拟了车辆以200 km·h-1的运行速度通过1~3根轨枕在对称空吊和非对称空吊工况下的轮轨相互作用行为,分析了空吊区域轮轨垂向力及钢轨挠曲位移最大值、轨道动态不平顺和轮重变化率等参数与空吊轨枕数量、深度之间的映射关系。研究结果表明:轨枕空吊改变了左右股钢轨轨下基础支承刚度,进而引起左右侧钢轨挠曲位移、轮轨垂向力的差异较大,形成动态高低、三角坑、水平等轨道动态不平顺和较大轮重变化率,参数最大值与空吊区轨枕个数、空吊深度、轨枕和道砟接触状态有关,受轨道自身刚度的影响,在空吊量大于1.6 mm时上述参数不再随空吊深度发生变化;非对称轨枕空吊工况下,左右侧轨枕空吊差异主要形成动态水平不平顺,其幅值与减载侧轮重变化率呈现负相关,在相同空吊量下时两者随空吊轨枕根数的增加而增大,在3根轨枕单侧空吊最大轮重变化率约为-0.28;对称空吊工况下,左右侧轨道动态高低不平顺的幅值相当,动态水平不平顺幅值较小,3根轨枕对称空吊时最大轮重变化率约为0.03。本文研究成果可为轨枕空吊区轮轨相互作用、动静态轨道不平顺差异分析、初期空吊病害特征辨识和预警技术提供科学参考。更多>
2025, 25(2): 296-310. doi: 10.19818/j.cnki.1671-1637.2025.02.019
摘要(960) HTML (293) PDF (20606KB) (98)
板式无砟轨道充填层快修换填CA砂浆的制备与早强机理
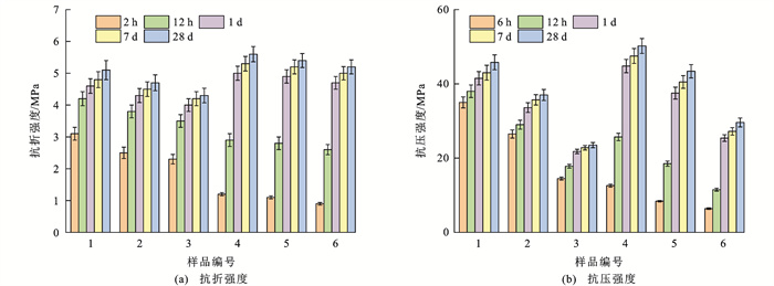
高义, 李好新, 马聪, 杨旭, 董必钦, 李辉, 杜彦良
摘要: 为解决中国高速铁路CRTS Ⅱ型板充填层大修更换问题,开发了满足施工天窗期和早期性能要求的快速硬化水泥乳化沥青(CA)砂浆;分别以磷酸镁水泥和硫铝酸钙水泥混合阳离子乳化沥青制备了磷酸镁水泥基乳化沥青(MCA)砂浆和硫铝酸盐水泥基乳化沥青(SCA)砂浆,采用Bingham模型拟合流变参数,量化浆体屈服应力和塑性黏度,利用动弹性模量测试仪测定7 d弹性模量,通过加速溶蚀试验量化Mg2+/Ca2+溶出速率,结合SEM-EDS微观分析揭示沥青相与水泥水化产物的界面作用机制。研究结果表明:2种体系终凝时间均小于60 min,满足高铁维修天窗期要求;MCA砂浆2 h抗压强度达11.5~29.3 MPa,SCA砂浆为5.1~9.3 MPa,28 d弹性模量均大于7 GPa;随A/C比增加,MCA流动性从170 mm降至140 mm,屈服应力提升至9.284 Pa,而SCA体系的流动性更优,同时SCA砂浆比MCA砂浆表现出更好的体积稳定性及耐水性;微观结构显示沥青膜与鸟粪石、钙矾石相互交织形成致密网络。可见,SCA型CA砂浆在早期强度、耐水性和离子稳定性方面表现更优,可作为CRTS Ⅱ型充填层快修材料的优选方案。更多>
2025, 25(2): 311-321. doi: 10.19818/j.cnki.1671-1637.2025.02.020
摘要(737) HTML (293) PDF (14214KB) (85)
透水型再生水泥稳定材料基层性能与全生命周期环境影响评价
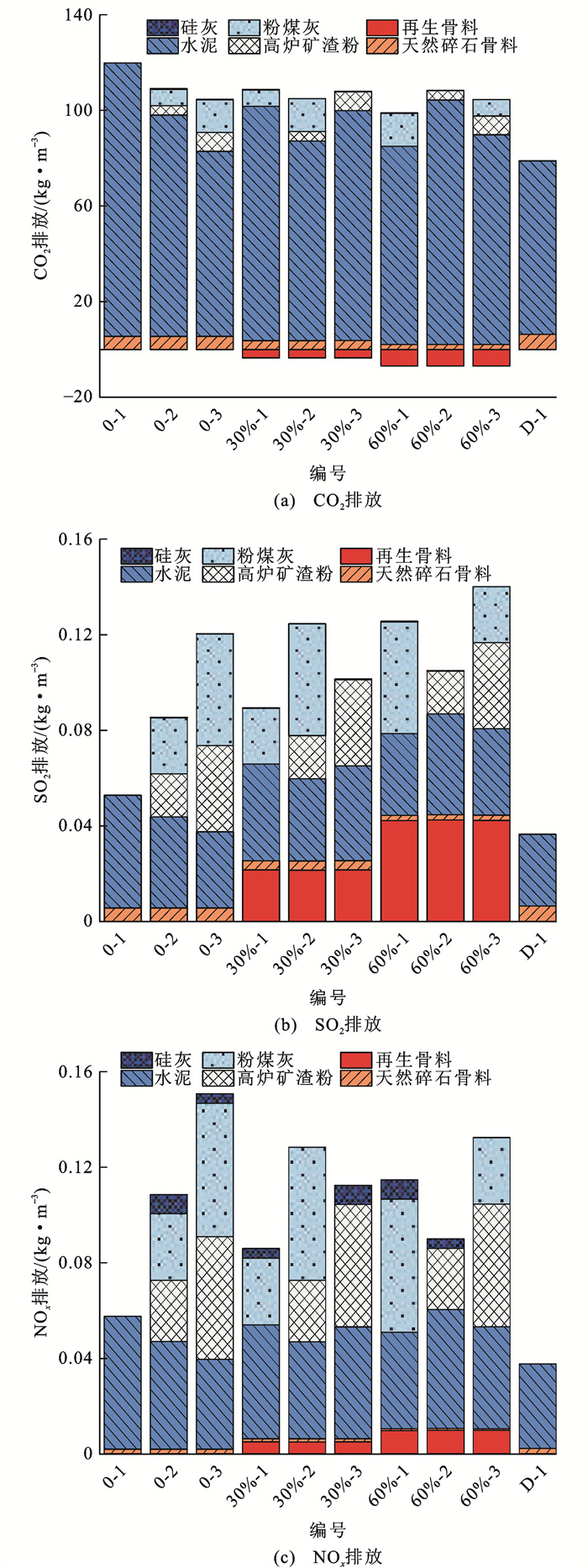
杨涛, 肖源杰, 王小明, 陈宇亮, 孟凡威, 何庆宇, 杨建雄
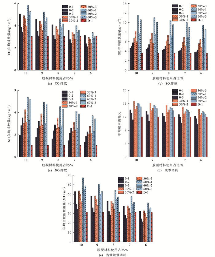
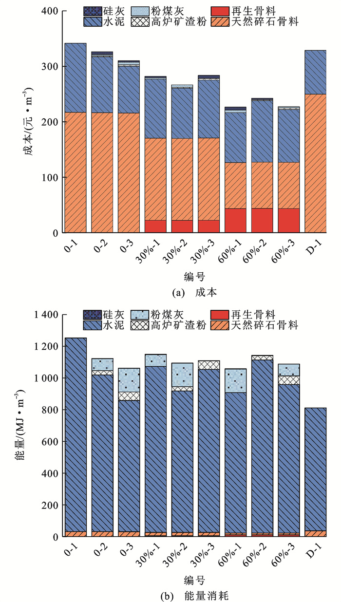
摘要: 为推广建筑固废再生骨料在道路工程中的资源化高值应用,采用全生命周期评价方法,深入分析了再生骨料使用占比和辅助胶凝材料配比等对透水型再生水泥稳定材料(CPRA)在原材料生产、工程建设、道路运营维护和服役结束4个阶段的成本消耗以及环境影响,进而结合室内抗压强度、透水系数、四点弯曲抗折测试、抗冻试验和抗压回弹试验,开展了CPRA与传统水泥稳定材料(TCSA)基层材料的多性能多维度对比分析。研究结果表明:使用再生骨料部分替代天然碎石骨料制作的CPRA,其抗压强度和透水系数满足中国道路使用规范要求,通过改善混合料中胶凝材料的使用配比,可使再生骨料使用占比达到60%;水泥稳定材料在原材料生产阶段的CO2排放量占全生命周期CO2排放总量的87%~91%,其中胶凝材料生产时的CO2排放量占原材料生产阶段的95%;采用辅助胶凝材料替代部分水泥并使用再生骨料可有效降低CO2排放量,再生骨料占比为30%的3组不同配比的CPRA相较于再生骨料占比为0的3组材料可降低8%~20%的总成本以及3%~15%的CO2排放量,再生骨料占比为60%的3组不同配比的CPRA相较于再生骨料占比为0的3组材料可降低24%~34%的总成本以及3%~23%的CO2排放量;采用10%~32%的辅助胶凝材料替代水泥可降低混合料8%~17%的CO2排放量,但会增加14%~81%的SO2和21%~106%的NOx等污染气体的排放;CPRA相较于TCSA其总成本更为低廉,当胶凝剂材料使用比例控制在7%~8%时,CPRA全生命周期碳排放量更具优势。研究结果将为建筑固废再生骨料在全透水型道路基层中的应用以及碳排放数据测算和材料配合比设计提供参考借鉴。更多>
2025, 25(2): 322-339. doi: 10.19818/j.cnki.1671-1637.2025.02.021
摘要(775) HTML (251) PDF (30096KB) (97)
载运工具运用工程
动车组涡激振动比例模型风洞试验与数值仿真研究
秦汀, 姚远, 宋亚东, 范晨光
摘要: 针对CR200J动力集中型动车组在单线隧道内列尾持续晃车现象,为了探究其形成机理与气动特征,本文以1∶25缩尺比例的CR200J动车组尾部动力车为研究对象,通过风洞试验对单自由度车体的横向振动进行测试,然后采用大涡模拟方法建立了风洞模型的流固耦合数值仿真平台,并通过风洞试验对仿真结果进行了验证;对比分析了是否考虑流固耦合振动2种工况时的车体尾涡结构及气动响应。研究结果表明:假设车体固定不考虑流固耦合振动时,横向气动力频率(涡激频率)与风速线性相关,横向气动力大小与车体气动外形和风速有关;考虑流固耦合振动时,车体横向振动幅值与风速正相关,由于涡激振动锁频效应,横向气动力频率与车体横向固有振动频率锁定,此时车体出现了涡激共振,其横向振动加剧;相较于非流固耦合仿真工况,车体横向振动导致尾流高涡量区域和边界层分离点后移,更靠近车头鼻尖位置,使得因漩涡脱落产生的横向力的作用力臂增大,进而增大车体受到的摇头力矩,加剧振动。可见,流固耦合会改变气动载荷的大小和频率,进而影响车体动态响应,故尾车晃车的分析需采用车辆动力学与空气动力学相结合的流固耦合振动分析方法。更多>
2025, 25(2): 340-350. doi: 10.19818/j.cnki.1671-1637.2025.02.022
摘要(1051) HTML (337) PDF (16458KB) (93)
考虑人字齿轮啮合的高速动车组动力学性能和车轮磨耗分析
宋烨, 祁亚运, 战立超
摘要: 建立了考虑完整牵引传动系统的车辆动力学模型,在传动系统建模时分别采用人字齿轮和斜齿轮;对比分析了2种齿轮传动系统对轮轨接触参数、车辆动力学性能的影响;分析了传动系统中人字齿轮啮合对车轮磨耗的影响。分析结果表明:人字齿轮增加了齿轮副啮合刚度,从而使扭矩传递更加平稳;人字齿轮能有效减少车轮与钢轨的横向作用和轮对横向位移,2种模型在牵引过程中的最大横向位移分别为8.9和5.7 mm,人字齿啮合模型减小了35.9%;人字齿轮有效减小了齿轮的轴向力,斜齿和人字齿轮轴向力最大值分别为4.50、2.85 kN;在高速动车组使用人字齿轮传动系统时,新车轮与新钢轨匹配后,车轮的磨耗相对集中,不利于车轮型面的均匀性磨耗;直线工况下,人字齿轮啮合模型的车轮磨耗较斜齿轮啮合模型增大5.96%;牵引力矩对车轮磨耗影响较大,谐波力矩对车轮磨耗有一定影响,增加谐波力矩会增加车轮磨耗,螺旋角对车轮磨耗影响较小。研究为高速动车组人字齿轮啮合传动系统的设计提供了相关依据。更多>
2025, 25(2): 351-360. doi: 10.19818/j.cnki.1671-1637.2025.02.023
摘要(1046) HTML (291) PDF (10575KB) (83)